|
Наименование
|
Субпозиция ТН ВЭД
|
Номер CAS
|
Номер списка
Конвенции |
|
AH–7921
|
2924 29
|
|
1
|
|
МТ–45
|
2933 59
|
|
1
|
|
U–47700
|
2924 29
|
|
1
|
|
3–Ацетилморфин
|
2939 19
|
|
1
|
|
6–Ацетилморфин
|
2939 19
|
2784–73–8
|
1
|
|
Акрилоилфентанил
|
2933 39
|
|
1
|
|
L–Альфацетилметадол
|
2922 19
|
|
|
|
Аллилпродин (INN)
|
2933 39
|
25384–17–2
|
1
|
|
Аллилпродина гидрохлорид
|
2933 39
|
|
1
|
|
Алфентанил (INN)
|
2933 33
|
71195–58–9
|
1
|
|
Алфентанила гидрохлорид
|
2933 33
|
69049–06–5
|
1
|
|
Альфацетилметадол (INN)
|
2922 19
|
17199–58–5
|
1
|
|
Альфацетилметадола гидрохлорид
|
2922 19
|
|
1
|
|
Альфамепродин (INN)
|
2933 39
|
468–51–9
|
1
|
|
Альфаметадол (INN)
|
2922 19
|
17199–54–1
|
1
|
|
Альфапродин (INN)
|
2933 39
|
77–20–3
|
1
|
|
Альфапродина гидрохлорид
|
2933 39
|
561–78–4
|
1
|
|
Анилеридин (INN)
|
2933 33
|
144–14–9
|
1
|
|
Анилеридина дигидрохлорид
|
2933 33
|
126–12–5
|
1
|
|
Анилеридина фосфат
|
2933 39
|
4268–37–5
|
1
|
|
Ацетилдигидрокодеин
|
2939 19
|
3861–72–1
|
2
|
|
Ацетилдигидрокодеина гидрохлорид
|
2939 19
|
|
2
|
|
Ацетилметадол (INN)
|
2922 19
|
509–74–0
|
1
|
|
Ацетил–a–метилфентанил
|
2933 39
|
|
4
|
|
Ацетилморфин
|
2939 19
|
|
1
|
|
Ацетилфентанил
|
2939 19
|
|
1
|
|
Ацеторфин (INN)
|
2939 19
|
25333–77–1
|
4
|
|
Ацеторфина гидрохлорид
|
2939 19
|
25333–78–2
|
4
|
|
Безитрамид (INN)
|
2933 33
|
15301–48–1
|
1
|
|
Безитрамида гидрохлорид
|
2933 33
|
|
1
|
|
Бензетидин (INN)
|
2933 39
|
3691–78–9
|
1
|
|
Бензетидина гидробромид
|
2933 39
|
|
1
|
|
Бензоилморфин
|
2939 19
|
|
1
|
|
Бензилморфин
|
2939 19
|
14297–87–1
|
1
|
|
Бензилморфина гидрохлорид
|
2939 19
|
630–86–4
|
1
|
|
Бензилморфина мезилат
|
2939 19
|
|
1
|
|
Бетацетилметадол (INN)
|
2922 19
|
17199–59–6
|
1
|
|
Бетамепродин (INN)
|
2933 39
|
468–50–8
|
1
|
|
Бетаметадол (INN)
|
2922 19
|
17199–55–2
|
1
|
|
Бетапродин (INN)
|
2933 39
|
468–59–7
|
1
|
|
Бетапродина гидрохлорид
|
2933 39
|
|
1
|
|
Бутирфентанил
|
2933 39
|
|
1
|
|
(+)–цис–b–Гидрокси–3–м–метилфентанил
|
2933 39
|
|
|
|
b–Гидроксифентанил
|
2933 39
|
|
4
|
|
b–Гидроксифентанила гидрохлорид
|
2933 39
|
|
4
|
|
b–Гидрокси–3–метилфентанил
|
2933 39
|
|
4
|
|
b–Гидрокси–3–метилфентанила гидрохлорид
|
2933 39
|
|
4
|
|
Героин
|
2939 11
|
561–27–3
|
4
|
|
Героина гидрохлорид
|
2939 11
|
1502–95–0
|
4
|
|
Героина метилйодид
|
2939 19
|
|
4
|
|
Гидроксипетидин (INN)
|
2933 39
|
468–56–4
|
1
|
|
Гидроксипетидина гидрохлорид
|
2933 39
|
|
1
|
|
Гидрокодон (INN)
|
2939 11
|
125–29–1
|
1
|
|
Гидрокодона цитрат
|
2939 11
|
|
1
|
|
Гидрокодона гидройодид
|
2939 11
|
|
1
|
|
Гидрокодона гидрохлорид
|
2939 11
|
25968–91–6
|
1
|
|
Гидрокодона гидротартрат (битартрат)
|
2939 11
|
143–71–5
|
1
|
|
Гидрокодона метилйодид
|
2939 19
|
|
1
|
|
Гидрокодона фосфат
|
2939 11
|
34366–67–1
|
1
|
|
Гидрокодона резинат
|
3003 49
|
|
1
|
|
Гидрокодона терефталат
|
2939 11
|
|
1
|
|
Гидроморфинол (INN)
|
2939 19
|
2183–56–4
|
1
|
|
Гидроморфинола гидрохлорид
|
2939 19
|
|
1
|
|
Гидроморфинола гидротартрат (битартрат)
|
2939 19
|
|
1
|
|
Гидроморфон (INN)
|
2939 11
|
466–99–9
|
1
|
|
Гидроморфона 3–глюкуронид
|
2939 11
|
|
1
|
|
Гидроморфона гидрохлорид
|
2939 11
|
71–68–1
|
1
|
|
Гидроморфона сульфат
|
2939 11
|
|
1
|
|
Гидроморфона терефталат
|
2939 11
|
|
1
|
|
Дезоморфин (INN)
|
2939 19
|
427–00–9
|
4
|
|
Дезоморфина гидробромид
|
2939 19
|
|
4
|
|
Дезоморфина гидрохлорид
|
2939 19
|
|
4
|
|
Дезоморфина сульфат
|
2939 19
|
|
4
|
|
Декстроморамид (INN)
|
2934 91
|
357–56–2
|
1
|
|
Декстроморамида дигидрохлорид
|
2934 91
|
|
1
|
|
Декстроморамида гидрохлорид
|
2934 91
|
|
1
|
|
Декстроморамида гидротартрат (битартрат)
|
2934 99
|
2922–44–3
|
1
|
|
Декстропропоксифен (INN)
|
2922 14
|
469–62–5
|
2
|
|
Декстропропоксифена гидрохлорид
|
2922 14
|
1639–60–7
|
2
|
|
Декстропропоксифена резинат
|
3003 90
|
|
2
|
|
Диампромид (INN)
|
2924 29
|
552–25–0
|
1
|
|
Диампромида сульфат
|
2924 29
|
|
1
|
|
Дигидроизоморфин
|
2939 19
|
|
|
|
Дигидроизоморфина 6–глюкуронид
|
2939 19
|
|
|
|
Дигидрокодеин (INN)
|
2939 11
|
125–28–0
|
2
|
|
Дигидрокодеина гидрохлорид
|
2939 11
|
|
2
|
|
Дигидрокодеина гидротартрат (битартрат)
|
2939 11
|
5965–13–9
|
2
|
|
Дигидрокодеина фосфат
|
2939 11
|
24204–13–5
|
2
|
|
Дигидрокодеина резинат
|
3003 49
|
|
2
|
|
Дигидрокодеина тиоцианат
|
2939 11
|
|
2
|
|
Дигидроморфин
|
2939 19
|
509–60–4
|
2
|
|
Дигидроморфина гидройодид
|
2939 19
|
|
2
|
|
Дигидроморфина гидрохлорид
|
2939 19
|
1421–28–9
|
2
|
|
Дигидроморфина пикрат
|
2939 19
|
|
2
|
|
Дигидроэторфин
|
2939 19
|
|
1
|
|
Дименоксадол (INN)
|
2922 19
|
509–78–4
|
1
|
|
Дименоксадола гидрохлорид
|
2922 19
|
242–75–1
|
1
|
|
Диметилтиамбутен (INN)
|
2934 99
|
524–84–5
|
1
|
|
Диметилтиамбутена гидрохлорид
|
2934 99
|
|
1
|
|
Димефептанол (INN)
|
2922 19
|
545–90–4
|
1
|
|
Димефептанола гидрохлорид
|
2922 19
|
|
1
|
|
Диоксафетилбутират (INN)
|
2934 99
|
467–86–7
|
1
|
|
Диоксафетилбутирата гидрохлорид
|
2934 99
|
|
1
|
|
Дипипанон (INN)
|
2933 33
|
467–83–4
|
1
|
|
Дипипанона гидробромид
|
2933 33
|
|
1
|
|
Дипипанона гидрохлорид
|
2933 33
|
75783–06–1
|
1
|
|
Дифеноксилат (INN)
|
2933 33
|
915–30–0
|
1
|
|
Дифеноксилата гидрохлорид
|
2933 33
|
3810–80–8
|
1
|
|
Дифеноксин (INN)
|
2933 33
|
28782–42–5
|
1
|
|
Дифеноксина гидрохлорид
|
2933 33
|
35607–36–4
|
1
|
|
Диэтилтиамбутен (INN)
|
2934 99
|
86–14–6
|
1
|
|
Диэтилтиамбутена гидрохлорид
|
2934 99
|
132–19–4
|
1
|
|
Дротебанол (INN)
|
2933 49
|
3176–03–2
|
1
|
|
d–Изометадон
|
2922 39
|
|
|
|
l–Изометадон
|
2922 39
|
|
|
|
Изометадон (INN)
|
2922 39
|
466–40–0
|
1
|
|
Изометадона гидробромид
|
2922 39
|
|
1
|
|
Изометадона гидрохлорид
|
2922 39
|
|
1
|
|
d–Кокаин
|
2939 71
|
478–73–9
|
|
|
Карфентанил (INN)
|
2933 39
|
|
1
|
|
Кетобемидон (INN)
|
2933 33
|
469–79–4
|
4
|
|
Кетобемидона гидрохлорид
|
2933 33
|
5965–49–1
|
4
|
|
Клонитазен (INN)
|
2933 99
|
3861–76–5
|
1
|
|
Клонитазена гидрохлорид
|
2933 99
|
|
1
|
|
Клонитазена мезилат
|
2933 99
|
|
1
|
|
Кодеин
|
2939 11
|
76–57–3
|
2
|
|
Кодеина ацетат
|
2939 11
|
|
2
|
|
Кодеина аллобарбитурат
|
2939 11
|
|
2
|
|
Кодеина барбитурат
|
2939 11
|
|
2
|
|
Кодеина камфосульфонат
|
2939 11
|
|
2
|
|
Кодеина цитрат
|
2939 11
|
5913–73–5
|
2
|
|
Кодеина циклобарбитурат
|
2939 11
|
|
2
|
|
Кодеина циклопентобарбитурат
|
2939 11
|
|
2
|
|
Кодеина 6–глюкуронид
|
2939 19
|
|
2
|
|
Кодеина гидробромид
|
2939 11
|
125–25–7
|
2
|
|
Кодеина гидрохлорид
|
2939 11
|
1422–07–7
|
2
|
|
Кодеина гидройодид
|
2939 11
|
125–26–8
|
2
|
|
Кодеина метилбромид
|
2939 19
|
125–27–9
|
2
|
|
Кодеина фенобарбитурат
|
2939 11
|
|
2
|
|
Кодеина фосфат
|
2939 11
|
52–28–8
|
2
|
|
Кодеина резинат
|
3003 49
|
|
2
|
|
Кодеина салицилат
|
2939 11
|
|
2
|
|
Кодеина сульфат
|
2939 11
|
1420–53–7
|
2
|
|
Кодеин–N–оксид
|
2939 19
|
3688–65–1
|
|
|
Кодеин–N–оксида гидрохлорид
|
2939 19
|
|
|
|
Кодоксим (INN)
|
2939 19
|
7125–76–0
|
1
|
|
Кокаин
|
2939 71
|
50–36–2
|
1
|
|
Кокаина бензоат
|
2939 71
|
|
1
|
|
Кокаина борат
|
2939 71
|
|
1
|
|
Кокаина цитрат
|
2939 71
|
|
1
|
|
Кокаина формиат
|
2939 71
|
|
1
|
|
Кокаина гидройодид
|
2939 71
|
|
1
|
|
Кокаина гидробромид
|
2939 71
|
|
1
|
|
Кокаина гидрохлорид
|
2939 71
|
53–21–4
|
1
|
|
Кокаина лактат
|
2939 71
|
|
1
|
|
Кокаина нитрат
|
2939 71
|
5913–62–2
|
1
|
|
Кокаина салицилат
|
2939 71
|
5913–64–4
|
1
|
|
Кокаина сульфат
|
2939 71
|
|
1
|
|
Кокаина тартрат
|
2939 71
|
|
1
|
|
Коки лист
|
1211 30
|
|
|
|
Конопля
|
1211 90
|
|
4
|
|
Конопли экстракты и настойки
|
1302 19
|
|
|
|
Конопли масло
|
1302 19
|
|
|
|
Конопли смола
|
1301 90
|
|
|
|
Концентрат маковой соломки
|
1302 11
2939 11 |
|
1
|
|
Левацетилметадол (INN)
|
2922 19
|
34433–66–4
|
1
|
|
Левометорфан (INN)*
|
2933 49
|
125–70–2
|
1
|
|
Левометорфана гидробромид
|
2933 49
|
|
1
|
|
Левометорфана гидротартрат (битартрат)
|
2933 49
|
|
1
|
|
Левоморамид (INN)
|
2934 99
|
5666–11–5
|
1
|
|
Левоморамида дигидрохлорид
|
2934 99
|
|
1
|
|
Левопропоксифен (INN)
|
2922 19
|
2338–37–6
|
|
|
Леворфанол (INN)**
|
2933 41
|
77–07–6
|
1
|
|
Леворфанола гидротартрат (битартрат)
|
2933 41
|
125–72–4
|
1
|
|
Леворфанола гидрохлорид
|
2933 41
|
|
1
|
|
Левофенацилморфан (INN)
|
2933 49
|
10061–32–2
|
1
|
|
Левофенацилморфана гидрохлорид
|
2933 49
|
|
1
|
|
Левофенацилморфан метилсульфонат
|
2933 49
|
|
1
|
|
Мак прицветниковый
|
1211 90
|
|
|
|
Маковая соломка
|
1211 40
|
|
|
|
(+)–цис–3–Метилтиофентанил
|
2934 99
|
|
4
|
|
(+)–цис–3–Метилтиофентанила гидрохлорид
|
2934 99
|
|
|
|
3–Метилфентанил
|
2933 39
|
|
4
|
|
3–Метилфентанила гидрохлорид
|
2933 39
|
|
4
|
|
3–Метилтиофентанил
|
2934 99
|
|
4
|
|
3–Метилтиофентанила гидрохлорид
|
2934 99
|
|
4
|
|
a–Метилфентанил
|
2933 39
|
|
4
|
|
a–Метилфентанила гидрохлорид
|
2933 39
|
|
4
|
|
a–Метилтиофентанил
|
2934 99
|
|
1
|
|
a–Метилтиофентанила гидрохлорид
|
2934 99
|
|
1
|
|
d–Метадон
|
2922 31
|
|
|
|
d–Метадона гидрохлорид
|
2922 31
|
|
|
|
l–Метадол
|
2922 19
|
|
|
|
l–Метадон
|
2922 31
|
|
1
|
|
l–Метадона гидрохлорид
|
2922 31
|
|
|
|
l–Метадона гидротартрат (битартрат)
|
2922 31
|
|
1
|
|
Метадон (INN)
|
2922 31
|
76–99–3
|
1
|
|
Метадона гидробромид
|
2922 31
|
|
1
|
|
Метадона гидрохлорид
|
2922 31
|
1095–90–5
|
1
|
|
Метадона гидротартрат (битартрат)
|
2922 31
|
|
1
|
|
Метадон (INN) – промежуточный продукт 4–циано–2–диметиламино–4,4–дифенилбутан или 2–диметиламино–4,4–дифенил–4–цианобутан
|
2926 30 |
|
1 |
|
Метазоцин (INN)
|
2933 39
|
3734–52–9
|
1
|
|
Метазоцина гидробромид
|
2933 39
|
|
1
|
|
Метазоцина гидрохлорид
|
2933 39
|
|
1
|
|
Метилдезорфин (INN)
|
2939 19
|
16008–36–9
|
1
|
|
Метилдезорфина гидрохлорид
|
2939 19
|
|
1
|
|
Метилдигидроморфин (INN)
|
2939 19
|
509–56–8
|
1
|
|
Метопон (INN)
|
2939 19
|
143–52–2
|
1
|
|
Метопона гидрохлорид
|
2939 19
|
|
1
|
|
Мирофин (INN)
|
2939 19
|
467–18–5
|
1
|
|
Мирофина гидрохлорид
|
2939 19
|
|
1
|
|
Морамид – промежуточный продукт
|
2934 99
|
|
1
|
|
Морферидин (INN)
|
2934 99
|
469–81–8
|
1
|
|
Морферидина дигидрохлорид
|
2934 99
|
|
1
|
|
Морферидина пикрат
|
2934 99
|
|
1
|
|
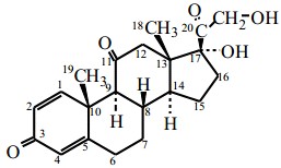
Морфин
|
2939 11
|
57–27–2
|
1
|
|
Морфин–N–оксид
|
2939 19
|
639–46–3
|
1
|
|
Морфин–N–оксида хинат
|
2939 19
|
|
1
|
|
Морфина 3,6–диглюкуронид
|
2939 19
|
|
1
|
|
Морфина 3–глюкуронид
|
2939 19
|
|
1
|
|
Морфина 6–глюкуронид
|
2939 19
|
|
1
|
|
Морфина 3–b–D–глюкуронид
|
2939 19
|
|
1
|
|
Морфина 6–b–D–глюкуронид
|
2939 19
|
|
1
|
|
Морфина ацетат
|
2939 11
|
596–15–6
|
1
|
|
Морфина валерат
|
2939 11
|
|
1
|
|
Морфина диметиловый простой эфир
|
2939 19
|
|
|
|
Морфина глюконат
|
2939 19
|
|
1
|
|
Морфина гидройодид
|
2939 11
|
|
1
|
|
Морфина гидробромид
|
2939 11
|
630–81–9
|
1
|
|
Морфина гидрохлорид
|
2939 11
|
52–26–6
|
1
|
|
Морфина гипофосфит
|
2939 11
|
|
1
|
|
Морфина изобутират
|
2939 11
|
|
1
|
|
Морфина лактат
|
2939 11
|
|
1
|
|
Морфина меконат
|
2939 11
|
|
1
|
|
Морфина метилбромид
|
2939 19
|
|
1
|
|
Морфина метилхлорид
|
2939 19
|
|
1
|
|
Морфина метилйодид
|
2939 19
|
|
1
|
|
Морфина метилсульфонат
|
2939 11
|
|
1
|
|
Морфина метобромид
|
2939 19
|
|
1
|
|
Морфина мукат
|
2939 11
|
|
1
|
|
Морфина нитрат
|
2939 11
|
596–16–7
|
1
|
|
Морфина стеарат
|
2939 11
|
|
1
|
|
Морфина сульфат
|
2939 11
|
64–31–3
|
1
|
|
Морфина тартрат
|
2939 11
|
302–31–8
|
1
|
|
Морфина фенилпропионат
|
2939 11
|
|
1
|
|
Морфина фосфат
|
2939 11
|
|
1
|
|
Морфина фталат
|
2939 11
|
|
1
|
|
Морфина цитрат
|
2939 11
|
|
1
|
|
МППП
|
2933 39
|
|
4
|
|
МППП гидрохлорид
|
2933 39
|
|
4
|
|
Напсилат
|
2922 19
|
17140–78–2
|
2
|
|
Никокодин (INN)
|
2939 19
|
3688–66–2
|
2
|
|
Никокодина гидрохлорид
|
2939 19
|
|
2
|
|
Никодикодин (INN)
|
2939 19
|
808–24–2
|
2
|
|
Никоморфин (INN)
|
2939 11
|
639–48–5
|
1
|
|
Никоморфина гидрохлорид
|
2939 11
|
|
1
|
|
Норациметадол (INN)
|
2922 19
|
1477–39–0
|
1
|
|
Норациметадола глюконат
|
2922 19
|
|
1
|
|
Норациметадола гидрохлорид
|
2922 19
|
|
1
|
|
Норкодеин (INN)
|
2939 19
|
467–15–2
|
2
|
|
Норкодеина ацетат
|
2939 19
|
|
2
|
|
Норкодеина гидройодид
|
2939 19
|
|
2
|
|
Норкодеина гидрохлорид
|
2939 19
|
14648–14–7
|
2
|
|
Норкодеина нитрат
|
2939 19
|
|
2
|
|
Норкодеина платинихлорид
|
2843 90
|
|
2
|
|
Норкодеина сульфат
|
2939 19
|
|
2
|
|
Норлеворфанол (INN)
|
2933 49
|
1531–12–0
|
1
|
|
Норлеворфанола гидробромид
|
2933 49
|
|
1
|
|
Норлеворфанола гидрохлорид
|
2933 49
|
|
1
|
|
Норметадон (INN)
|
2922 31
|
467–85–6
|
1
|
|
Норметадона 2,6–ди–трет–бутилнафталиндисульфонат
|
2922 31 |
|
1 |
|
Норметадона гидробромид
|
2922 31
|
|
1
|
|
Норметадона гидрохлорид
|
2922 31
|
847–84–7
|
1
|
|
Норметадона метилйодид
|
2922 39
|
|
1
|
|
Норметадона оксалат
|
2922 31
|
|
1
|
|
Норметадона пикрат
|
2922 31
|
|
1
|
|
Норметадон (INN) – промежуточный продукт
|
2926 90 |
|
|
|
Норморфин (INN)
|
2939 19
|
466–97–7
|
1
|
|
Норморфина гидрохлорид
|
2939 19
|
|
1
|
|
Норпипанон (INN)
|
2933 39
|
561–48–8
|
1
|
|
Норпипанона гидробромид
|
2933 39
|
|
1
|
|
Норпипанона гидрохлорид
|
2933 39
|
|
1
|
|
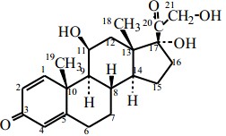
Оксикодон (INN)
|
2939 11
|
76–42–6
|
1
|
|
Оксикодона камфосульфонат
|
2939 11
|
|
1
|
|
Оксикодона гидрохлорид
|
2939 11
|
124–90–3
|
1
|
|
Оксикодона гидротартрат (битартрат)
|
2939 11
|
|
1
|
|
Оксикодона пектинат
|
2939 11
|
|
1
|
|
Оксикодона фенилпропионат
|
2939 11
|
|
1
|
|
Оксикодона фосфат
|
2939 11
|
|
1
|
|
Оксикодона терефталат
|
2939 11
|
|
1
|
|
Оксиморфон (INN)
|
2939 11
|
76–41–5
|
1
|
|
Оксиморфона гидрохлорид
|
2939 11
|
375–07–3
|
1
|
|
Окфентанил
|
2933 39
|
|
1
|
|
Опий
|
1302 11
|
|
1
|
|
Опий готовый
|
1302 19
2939 11 |
|
|
|
Опий, смесь алкалоидов
|
1302 11***
2939 11**** |
|
|
|
Орипавин
|
2939 19
|
|
1
|
|
Орипавина гидрохлорид
|
2939 19
|
|
1
|
|
ПЕПАП
|
2933 39
|
|
4
|
|
ПЕПАП гидрохлорид
|
2933 39
|
|
4
|
|
Петидин (INN)
|
2933 33
|
57–42–1
|
1
|
|
Петидина гидрохлорид
|
2933 33
|
50–13–5
|
1
|
|
Петидин (INN) – промежуточный продукт А
|
2933 33 |
|
1 |
|
Петидин (INN) – промежуточный продукт В
|
2933 39
|
|
1
|
|
Петидина – промежуточного продукта В гидробромид
|
2933 39 |
|
1 |
|
Петидина – промежуточного продукта В гидрохлорид
|
2933 39 |
|
1 |
|
Петидин (INN) – промежуточный продукт С
|
2933 39
|
|
1
|
|
Пиминодин (INN)
|
2933 39
|
13495–09–5
|
1
|
|
Пиминодина дигидрохлорид
|
2933 39
|
|
1
|
|
Пиминодина эзилат
|
2933 39
|
7081–52–9
|
1
|
|
Пиритрамид (INN)
|
2933 33
|
302–41–0
|
1
|
|
Прогептазин (INN)
|
2933 99
|
77–14–5
|
1
|
|
Прогептазина цитрат
|
2933 99
|
|
1
|
|
Прогептазина гидробромид
|
2933 99
|
|
1
|
|
Прогептазина гидрохлорид
|
2933 99
|
|
1
|
|
Проперидин (INN)
|
2933 39
|
561–76–2
|
1
|
|
Проперидина гидрохлорид
|
2933 39
|
|
1
|
|
Пропирам (INN)
|
2933 33
|
15686–91–6
|
2
|
|
Пропирама фумарат
|
2933 33
|
|
2
|
|
Рацеметорфан (INN)
|
2933 49
|
510–53–2
|
1
|
|
Рацеметорфана гидробромид
|
2933 49
|
|
1
|
|
Рацеметорфана гидротартрат (битартрат)
|
2933 49
|
|
1
|
|
Рацеморамид (INN)
|
2934 99
|
545–59–5
|
1
|
|
Рацеморамида дигидрохлорид
|
2934 99
|
|
1
|
|
Рацеморамида гидротартрат (битартрат)
|
2934 99
|
|
1
|
|
Рацеморамида тартрат
|
2934 99
|
|
1
|
|
Рацеморфан (INN)
|
2933 49
|
297–90–5
|
1
|
|
Рацеморфана гидробромид
|
2933 49
|
|
1
|
|
Рацеморфана гидрохлорид
|
2933 49
|
|
1
|
|
Рацеморфана гидротартрат (битартрат)
|
2933 49
|
|
1
|
|
Ремифентанил
|
2933 39
|
|
1
|
|
Ремифентанила гидрохлорид
|
2933 39
|
|
1
|
|
Суфентанил (INN)
|
2934 91
|
56030–54–7
|
1
|
|
Суфентанила цитрат
|
2934 91
|
|
1
|
|
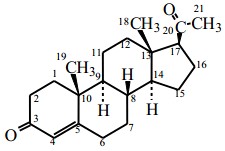
Тебаин
|
2939 11
|
115–37–7
|
1
|
|
Тебаина гидрохлорид
|
2939 11
|
|
1
|
|
Тебаина гидротартрат (битартрат)
|
2939 11
|
|
1
|
|
Тебаина оксалат
|
2939 11
|
|
1
|
|
Тебаина салицилат
|
2939 11
|
|
1
|
|
Тебакон (INN)
|
2939 11
|
466–90–0
|
1
|
|
Тебакона гидрохлорид
|
2939 11
|
20236–82–2
|
1
|
|
Тетрагидрофуранилфентанил
|
2934 99
|
|
1
|
|
Тилидин (INN)
|
2922 44
|
20380–58–9
|
1
|
|
Тилидина гидрохлорид
|
2922 44
|
27107–79–5
|
1
|
|
Тримеперидин (INN)
|
2933 33
|
64–39–1
|
1
|
|
Тримеперидина гидрохлорид
|
2933 33
|
125–80–4
|
1
|
|
Тиофентанил
|
2934 99
|
|
4
|
|
Тиофентанила ацетат
|
2934 99
|
|
1
|
|
Тиофентанила гидрохлорид
|
2934 99
|
|
4
|
|
4–Фторизобутирфентанил
|
2933 39
|
|
1
|
|
п–Фторфентанил
|
2933 39
|
|
4
|
|
п–Фторфентанила гидрохлорид
|
2933 39
|
|
4
|
|
Фенадоксон (INN)
|
2934 99
|
467–84–5
|
1
|
|
Фенадоксона гидрохлорид
|
2934 99
|
545–91–5
|
1
|
|
Фенампромид (INN)
|
2933 39
|
129–83–9
|
1
|
|
Фенампромида гидрохлорид
|
2933 39
|
|
1
|
|
Феназоцин (INN)
|
2933 39
|
127–35–5
|
1
|
|
Феназоцина гидробромид
|
2933 39
|
|
1
|
|
Феназоцина гидрохлорид
|
2933 39
|
7303–75–5
|
1
|
|
Феназоцина мезилат
|
2933 39
|
|
1
|
|
Феноморфан (INN)
|
2933 49
|
468–07–5
|
1
|
|
Феноморфана гидробромид
|
2933 49
|
|
1
|
|
Феноморфана гидротартрат (битартрат)
|
2933 49
|
|
1
|
|
Феноморфана метилбромид
|
2933 49
|
|
1
|
|
Феноперидин (INN)
|
2933 33
|
562–26–5
|
1
|
|
Феноперидина гидрохлорид
|
2933 33
|
3627–49–4
|
1
|
|
Фентанил (INN)
|
2933 33
|
437–38–7
|
1
|
|
Фентанила цитрат
|
2933 33
|
990–73–8
|
1
|
|
Фолкодин (INN)
|
2939 11
|
509–67–1
|
2
|
|
Фолкодина гидротартрат (битартрат)
|
2939 11
|
|
2
|
|
Фолкодина цитрат
|
2939 11
|
|
2
|
|
Фолкодина гваяколсульфонат
|
2939 11
|
|
2
|
|
Фолкодина гидрохлорид
|
2939 11
|
|
2
|
|
Фолкодина фенилацетат
|
2939 11
|
|
2
|
|
Фолкодина фосфат
|
2939 11
|
|
2
|
|
Фолкодина сульфонат
|
2939 11
|
|
2
|
|
Фолкодина тартрат
|
2939 11
|
7369–11–1
|
2
|
|
Фуранилфентанил
|
2934 99
|
|
1
|
|
Фуретидин (INN)
|
2934 99
|
2385–81–1
|
1
|
|
Фуретидина гидробромид
|
2934 99
|
|
1
|
|
Фуретидина метилйодид
|
2934 99
|
|
1
|
|
Фуретидина пикрат
|
2934 99
|
|
1
|
|
Экгонин, его сложные эфиры и производные, которые могут быть превращены в экгонин и кокаин
|
2939 71 |
481–37–8 |
1 |
|
Экгонина бензоилэтиловый сложный эфир
|
2939 71
|
|
1
|
|
Экгонина бензоилпропиловый сложный эфир
|
2939 71 |
|
1 |
|
Экгонина циннамоилметиловый сложный эфир
|
2939 71 |
|
1 |
|
Экгонина 2,6‑диметилбензоилметиловый сложный эфир
|
2939 71
|
|
1
|
|
Экгонина гидрохлорид
|
2939 71
|
|
1
|
|
Экгонина м–гидроксибензоиловый сложный эфир
|
2939 71
|
|
1
|
|
Экгонина метиловый сложный эфир
|
2939 71
|
|
1
|
|
Экгонина метилового сложного эфира гидрохлорид
|
2939 71 |
|
1 |
|
Экгонина фенилацетилметиловый сложный эфир
|
2939 71 |
|
1 |
|
Этилметилтиамбутен (INN)
|
2934 99
|
441–61–2
|
1
|
|
Этилметилтиамбутена гидрохлорид
|
2934 99
|
|
1
|
|
Этилморфин
|
2939 11
|
76–58–4
|
2
|
|
Этилморфина камфосульфонат
|
2939 11
|
|
2
|
|
Этилморфина гидробромид
|
2939 11
|
|
2
|
|
Этилморфина гидрохлорид
|
2939 11
|
125–30–4
|
2
|
|
Этилморфина метилйодид
|
2939 19
|
|
2
|
|
Этилморфина фенобарбитурат
|
2939 11
|
|
2
|
|
Этонитазен (INN)
|
2933 99
|
911–65–9
|
1
|
|
Этонитазена гидрохлорид
|
2933 99
|
|
1
|
|
Эторфин (INN)
|
2939 11
|
14521–96–1
|
4
|
|
Эторфина гидрохлорид
|
2939 11
|
13764–49–3
|
4
|
|
Эторфина 3–метиловый простой эфир
|
2939 19
|
|
4
|
|
Этоксэридин (INN)
|
2933 39
|
469–82–9
|
1
|
|
Этоксэридина гидрохлорид
|
2933 39
|
|
1
|
|
Наименование
|
Субпозиция ТН ВЭД
|
Номер CAS
|
Номер списка Конвенции
|
|
AB–CHMINACA
|
2933 99
|
|
2
|
|
AB–PINACA
|
2933 99
|
|
2
|
|
AM–2201; JWH–2201
|
2933 99
|
|
2
|
|
25B–NBOMe; 2C–B–NBOMe
|
2922 29
|
|
1
|
|
25B–NBOMe гидрохлорид
|
2922 29
|
|
1
|
|
2C–B
|
2922 29
|
|
2
|
|
2C–B гидрохлорид
|
2922 29
|
|
2
|
|
25C–NBOMe; 2C–C–NBOMe
|
2922 29
|
|
1
|
|
25C–NBOMe гидрохлорид
|
2922 29
|
|
1
|
|
DET
|
2939 79
|
61–51–8
|
1
|
|
DET гидрохлорид
|
2939 79
|
|
1
|
|
DMA
|
2922 29
|
|
1
|
|
DMA гидрохлорид
|
2922 29
|
|
1
|
|
4,4’–DMAR; 4,4’–Диметиламинорекс
|
2934 99
|
|
2
|
|
DMHP
|
2932 99
|
|
1
|
|
DMT
|
2939 79
|
61–50–7
|
1
|
|
DMT гидрохлорид
|
2939 79
|
|
1
|
|
DMT метилйодид
|
2939 79
|
|
1
|
|
DOET
|
2922 29
|
|
1
|
|
DOET гидрохлорид
|
2922 29
|
|
1
|
|
5F–ADB; 5F–MDMB–PINACA
|
2933 99
|
|
2
|
|
5F–APINACA; 5F–AKB–48
|
2933 99
|
|
2
|
|
5F–PB–22
|
2933 49
|
|
2
|
|
GHB
|
2918 19
|
|
2
|
|
GHB натрия
|
2918 19
|
|
2
|
|
25I–NBOMe; 2C–I–NBOMe
|
2922 29
|
|
1
|
|
25I–NBOMe гидрохлорид
|
2922 29
|
|
1
|
|
JWH–018; AM–678
|
2933 99
|
|
2
|
|
MDE, N–этил MDA, MDEA
|
2932 99
|
|
1
|
|
MDMA
|
2932 99
|
|
1
|
|
MDMA гидрохлорид
|
2932 99
|
|
1
|
|
MDMB–CHMICA
|
2933 99
|
|
2
|
|
MDPV
|
2934 99
|
|
2
|
|
MDPV гидрохлорид
|
2934 99
|
|
2
|
|
MMDA
|
2932 99
|
|
1
|
|
MMDA гидрохлорид
|
2932 99
|
|
1
|
|
4–MTA
|
2930 90
|
|
1
|
|
4–MTA гидрохлорид
|
2930 90
|
|
1
|
|
N–Гидрокси MDA
|
2932 99
|
|
1
|
|
N–Гидрокси MDA гидрохлорид
|
2932 99
|
|
1
|
|
N–Этил MDA
|
2932 99
|
|
1
|
|
N–Этил MDA гидрохлорид
|
2932 99
|
|
1
|
|
PMA
|
2922 29
|
|
1
|
|
PMA гидрохлорид
|
2922 29
|
|
1
|
|
PMMA
|
2922 29
|
|
1
|
|
PMMA гидрохлорид
|
2922 29
|
|
1
|
|
б–PVP
|
2939 79
|
|
2
|
|
б–PVP гидрохлорид
|
2939 79
|
|
2
|
|
STP, DOM
|
2922 29
|
15588–95–1
|
1
|
|
STP, DOM гидрохлорид
|
2922 29
|
|
1
|
|
TMA
|
2922 29
|
|
1
|
|
TMA гидрохлорид
|
2922 29
|
|
1
|
|
UR–144
|
2933 99
|
|
2
|
|
XLR–11
|
2933 99
|
|
2
|
|
d–9–Тетрагидроканнабинол
|
2932 95
|
1972–08–3
|
2
|
|
Аллобарбитал (INN)
|
2933 53
|
52–43–7
|
4
|
|
Аллобарбитала аминофеназон
|
2933 54
|
|
4
|
|
Алпразолам (INN)
|
2933 91
|
28981–97–7
|
4
|
|
Аминептин (INN)
|
2922 49
|
|
2
|
|
Аминептина гидрохлорид
|
2922 49
|
|
2
|
|
Аминорекс (INN)
|
2934 91
|
2207–50–3
|
4
|
|
Аминорекса фумарат
|
2934 91
|
|
4
|
|
Аминорекса гидрохлорид
|
2934 91
|
|
4
|
|
Амобарбитал (INN)
|
2933 53
|
57–43–2
|
3
|
|
Амобарбитала резинат
|
3003 90
|
|
3
|
|
Амобарбитал натрия
|
2933 53
|
64–43–7
|
3
|
|
Амфепрамон (INN)
|
2922 31
|
90–84–6
|
4
|
|
Амфепрамона гидрохлорид
|
2922 31
|
134–80–5
|
4
|
|
Амфепрамона глутамат
|
2922 42
|
|
4
|
|
Амфепрамона резинат
|
3003 90
|
|
4
|
|
Амфетамин (INN)
|
2921 46
|
300–62–9
|
2
|
|
Амфетамина п–аминофенилацетат
|
2922 49
|
|
2
|
|
Амфетамина п–хлорфеноксиацетат
|
2921 46
|
|
2
|
|
Амфетамина адипат
|
2921 46
|
|
2
|
|
Амфетамина аспартат
|
2922 49
|
|
2
|
|
Амфетамина ацетилсалицилат
|
2921 46
|
|
2
|
|
Амфетамина гидрохлорид
|
2921 46
|
|
2
|
|
Амфетамина гидротартрат (битартрат)
|
2921 46
|
|
2
|
|
Амфетамина пентабарбитурат
|
2933 54
|
|
2
|
|
Амфетамина резинат
|
3003 90
|
|
2
|
|
Амфетамина сульфат
|
2921 46
|
60–13–9
|
2
|
|
Амфетамина таннат
|
3201 90
|
|
2
|
|
Амфетамина тартрат
|
2921 46
|
|
2
|
|
Амфетамина фосфат
|
2921 46
|
139–10–6
|
2
|
|
Барбитал (INN)
|
2933 53
|
57–44–3
|
4
|
|
Барбитал кальция
|
2933 53
|
|
4
|
|
Барбитал магния
|
2933 53
|
|
4
|
|
Барбитал натрия
|
2933 53
|
144–02–5
|
4
|
|
N–Бензилпиперазин; Бензилпиперазин; BZP
|
2933 59
|
|
2
|
|
N–Бензилпиперазина дигидрохлорид
|
2933 59
|
|
2
|
|
N–Бензилпиперазина гидрохлорид
|
2933 59
|
|
2
|
|
Бензфетамин (INN)
|
2921 46
|
156–08–1
|
4
|
|
Бензфетамина гидрохлорид
|
2921 46
|
5411–22–3
|
4
|
|
Броламфетамин (INN) (DOB)
|
2922 29
|
64638–07–9
|
1
|
|
Броламфетамина (DOB) гидрохлорид
|
2922 29
|
|
1
|
|
Бромазепам (INN)
|
2933 33
|
1812–30–2
|
4
|
|
Бротизолам (INN)
|
2934 91
|
57801–81–7
|
4
|
|
Бупренорфин (INN)
|
2939 11
|
52485–79–7
|
3
|
|
Бупренорфина гидрохлорид
|
2939 11
|
53152–21–9
|
3
|
|
Бупренорфина гидротартрат (битартрат)
|
2939 11
|
|
3
|
|
Бупренорфина сульфат
|
2939 11
|
|
3
|
|
Буталбитал (INN)
|
2933 53
|
77–26–9
|
3
|
|
Бутобарбитал
|
2933 53
|
77–28–1
|
4
|
|
Винилбитал (INN)
|
2933 53
|
2430–49–1
|
4
|
|
Галазепам (INN)
|
2933 91
|
23092–17–3
|
4
|
|
Галоксазолам (INN)
|
2934 91
|
59128–97–1
|
4
|
|
Глутетимид (INN)
|
2925 12
|
77–21–4
|
3
|
|
Дексамфетамин (INN)
|
2921 46
|
51–64–9
|
2
|
|
Дексамфетамина адипат
|
2921 46
|
|
2
|
|
Дексамфетамина гидрохлорид
|
2921 46
|
405–41–4
|
2
|
|
Дексамфетамина гидротартрат (битартрат)
|
2921 46
|
|
2
|
|
Дексамфетамина карбоксиметилцеллюлоза
|
3912 31
|
|
2
|
|
Дексамфетамина пентобарбитурат
|
2933 54
|
|
2
|
|
Дексамфетамина резинат
|
3003 90
|
|
2
|
|
Дексамфетамина сахарат
|
2921 49
|
|
2
|
|
Дексамфетамина сульфат
|
2921 46
|
51–63–8
|
2
|
|
Дексамфетамина таннат
|
3201 90
|
|
2
|
|
Дексамфетамина фосфат
|
2921 46
|
7528–00–9
|
2
|
|
Делоразепам (INN)
|
2933 91
|
2894–67–9
|
4
|
|
Диазепам (INN)
|
2933 91
|
439–14–5
|
4
|
|
Дронабинол (INN)
|
2932 95
|
|
2
|
|
Зипепрол (INN)
|
2933 55
|
34758–83–3
|
2
|
|
Зипепрола дигидрохлорид
|
2933 55
|
|
2
|
|
Золпидем (INN)
|
2933 99
|
|
4
|
|
Золпидема гемитартрат
|
2933 99
|
|
4
|
|
Камазепам (INN)
|
2933 91
|
36104–80–0
|
4
|
|
Катин (INN)
|
2939 43
|
492–39–7
|
3
|
|
Катина гидрохлорид
|
2939 43
|
2153–98–2
|
3
|
|
Катина фенобарбитурат
|
2939 43
|
|
3
|
|
Катина резинат
|
3003 49
|
|
3
|
|
Катина сульфат
|
2939 43
|
|
3
|
|
Катинон (INN)
|
2939 79
|
71031–15–7
|
1
|
|
Катинона гидрохлорид
|
2939 79
|
|
1
|
|
Кетазолам (INN)
|
2934 91
|
27223–35–4
|
4
|
|
Клобазам (INN)
|
2933 72
|
22316–47–8
|
4
|
|
Клоксазолам (INN)
|
2934 91
|
24166–13–0
|
4
|
|
Клоназепам (INN)
|
2933 91
|
1622–61–3
|
4
|
|
Клоразепат
|
2933 91
|
|
4
|
|
Клоразепат дикалия
|
2933 91
|
57109–90–7
|
4
|
|
Клоразепат калия
|
2933 91
|
5991–71–9
|
4
|
|
Левамфетамин (INN)
|
2921 46
|
156–34–3
|
2
|
|
Левамфетамина альгинат
|
3913 10
|
|
2
|
|
Левамфетамина сукцинат
|
2921 49
|
5634–40–2
|
2
|
|
Левамфетамина сульфат
|
2921 49
|
|
2
|
|
Левометамфетамин
|
2939 71
|
|
2
|
|
Левометамфетамина гидрохлорид
|
2939 71
|
|
2
|
|
Лефетамин (INN)
|
2921 46
|
7262–75–1
|
4
|
|
Лефетамина гидрохлорид
|
2921 46
|
14148–99–3
|
4
|
|
(+)–Лизергида тартрат
|
2939 69
|
|
1
|
|
Лизергид (INN), LSD, LSD–25
|
2939 69
|
50–37–3
|
1
|
|
Лопразолам (INN)
|
2933 55
|
61197–73–7
|
4
|
|
Лопразолама мезилат
|
2933 55
|
|
4
|
|
Лопразолама метилсульфонат
|
2933 55
|
|
4
|
|
Лоразепам (INN)
|
2933 91
|
846–49–1
|
4
|
|
Лоразепама ацетат
|
2933 91
|
|
4
|
|
Лоразепама мезилат
|
2933 91
|
|
4
|
|
Лоразепама пивалат
|
2933 91
|
|
4
|
|
Лорметазепам (INN)
|
2933 91
|
848–75–9
|
4
|
|
Мазиндол (INN)
|
2933 91
|
22232–71–9
|
4
|
|
Медазепам (INN)
|
2933 91
|
2898–12–6
|
4
|
|
Медазепама дибунат
|
2933 91
|
|
4
|
|
Медазепама гидрохлорид
|
2933 91
|
|
4
|
|
Мезокарб (INN)
|
2934 71
|
34262–84–5
|
4
|
|
Меклоквалон (INN)
|
2933 55
|
340–57–8
|
2
|
|
Меклоквалона гидрохлорид
|
2933 55
|
|
2
|
|
Мепробамат (INN)
|
2924 11
|
57–53–4
|
4
|
|
Мескалин
|
2939 79
|
54–04–6
|
1
|
|
Мескалина аурихлорид
|
2843 30
|
|
1
|
|
Мескалина гидрохлорид
|
2939 79
|
832–92–8
|
1
|
|
Мескалина пикрат
|
2939 79
|
|
1
|
|
Мескалина платинихлорид
|
2843 90
|
|
1
|
|
Мескалина сульфат
|
2939 79
|
1152–76–7
|
1
|
|
Метаквалон (INN)
|
2933 55
|
72–44–6
|
2
|
|
Метаквалона гидрохлорид
|
2933 55
|
340–56–7
|
2
|
|
Метаквалона резинат
|
3003 90
|
|
2
|
|
Метамфетамин (INN)
|
2939 71
|
537–46–2
|
2
|
|
Метамфетамина гидрохлорид
|
2939 71
|
51–57–0
|
2
|
|
Метамфетамина рацемат гидрохлорид
|
2939 71
|
|
2
|
|
Метамфетамина гидротартрат (битартрат)
|
2939 71
|
|
2
|
|
Метамфетамина рацемат
|
2939 71
|
4846–07–5
|
2
|
|
Метамфетамина сульфат
|
2939 71
|
|
2
|
|
Метиламинорекс
|
2934 99
|
|
1
|
|
Метиламинорекса гидрохлорид
|
2934 99
|
|
1
|
|
Метилон; Бета–кето–MDMA
|
2932 99
|
|
2
|
|
Метилона гидрохлорид
|
2932 99
|
|
2
|
|
Метилфенидат (INN)
|
2933 33
|
113–45–1
|
2
|
|
Метилфенидата гидрохлорид
|
2933 33
|
298–59–9
|
2
|
|
Метилфенобарбитал (INN)
|
2933 53
|
115–38–8
|
4
|
|
Метилфенобарбитал натрия
|
2933 53
|
|
4
|
|
4–Метилэткатинон; 4–MEC
|
2939 79
|
|
2
|
|
Метиопропамин; MPA
|
2934 99
|
|
2
|
|
Метиприлон (INN)
|
2933 72
|
125–64–4
|
4
|
|
Меткатинон
|
2939 79
|
|
1
|
|
Меткатинона гидрохлорид
|
2939 79
|
|
1
|
|
Метоксетамин; MXE
|
2922 50
|
|
2
|
|
Метоксетамина (MXE) гидрохлорид
|
2922 50
|
|
2
|
|
Мефедрон (INN)
|
2939 79
|
|
2
|
|
Мефедрона гидрохлорид
|
2939 79
|
|
2
|
|
Мефенорекс (INN)
|
2921 46
|
17243–57–1
|
4
|
|
Мефенорекса гидрохлорид
|
2921 46
|
|
4
|
|
Мидазолам (INN)
|
2933 91
|
59467–70–8
|
4
|
|
Мидазолама гидрохлорид
|
2933 91
|
|
4
|
|
Мидазолама малеат
|
2933 91
|
|
4
|
|
Ниметазепам (INN)
|
2933 91
|
2011–67–8
|
4
|
|
Нитразепам (INN)
|
2933 91
|
146–22–5
|
4
|
|
Нордазепам (INN)
|
2933 91
|
1088–11–5
|
4
|
|
Оксазепам (INN)
|
2933 91
|
604–75–1
|
4
|
|
Оксазепама ацетат
|
2933 91
|
|
4
|
|
Оксазепама гемисукцинат
|
2933 91
|
|
4
|
|
Оксазепама сукцинат
|
2933 91
|
|
4
|
|
Оксазепама валпроат
|
2933 91
|
|
4
|
|
Оксазолам (INN)
|
2934 91
|
24143–17–7
|
4
|
|
Парагексил
|
2932 99
|
|
1
|
|
Пемолин (INN)
|
2934 91
|
2152–34–3
|
4
|
|
Пемолин меди
|
2934 91
|
|
4
|
|
Пемолин железа
|
2934 91
|
|
4
|
|
Пемолин магния
|
2934 91
|
|
4
|
|
Пемолин никеля
|
2934 91
|
|
4
|
|
Пентазоцин (INN)
|
2933 33
|
359–83–1
|
3
|
|
Пентазоцина гидрохлорид
|
2933 33
|
|
3
|
|
Пентазоцина лактат
|
2933 33
|
17146–95–1
|
3
|
|
Пентедрон
|
2939 79
|
|
2
|
|
Пентобарбитал (INN)
|
2933 53
|
76–74–4
|
3
|
|
Пентобарбитал кальция
|
2933 53
|
7563–42–0
|
3
|
|
Пентобарбитал натрия
|
2933 53
|
57–33–0
|
3
|
|
Пиназепам (INN)
|
2933 91
|
52463–83–9
|
4
|
|
Пипрадрол (INN)
|
2933 33
|
467–60–7
|
4
|
|
Пипрадрола гидрохлорид
|
2933 33
|
71–78–3
|
4
|
|
Пировалерон (INN)
|
2933 91
|
3563–49–3
|
4
|
|
Пировалерона гидрохлорид
|
2933 91
|
1147–62–2
|
4
|
|
Празепам (INN)
|
2933 91
|
2955–38–6
|
4
|
|
Псилоцин, псилотсин
|
2939 79
|
|
1
|
|
Псилоцина, псилотсина гидрохлорид
|
2939 79
|
|
1
|
|
Псилоцибин (INN)
|
2939 79
|
520–52–5
|
1
|
|
Псилоцибина гидрохлорид
|
2939 79
|
|
1
|
|
Ролициклидин (INN) (PHP, PCPY)
|
2933 99
|
2201–39–0
|
1
|
|
Секбутабарбитал (INN)
|
2933 53
|
125–40–6
|
4
|
|
Секбутабарбитал–натрий
|
2933 53
|
|
4
|
|
Секобарбитал (INN)
|
2933 53
|
76–73–3
|
2
|
|
Секобарбитал кальция
|
2933 53
|
|
2
|
|
Секобарбитал натрия
|
2933 53
|
309–43–3
|
2
|
|
Секобарбитала резинат
|
3003 90
|
|
2
|
|
Темазепам (INN)
|
2933 91
|
846–50–4
|
4
|
|
Тенамфетамин (INN) (MDA)
|
2932 99
|
51497–09–7
|
1
|
|
Тенамфетамина (MDA) гидрохлорид
|
2932 99
|
|
1
|
|
Теноциклидин (INN)
|
2934 99
|
21500–98–1
|
1
|
|
Теноциклидина гидрохлорид
|
2934 99
|
|
1
|
|
Тетрагидроканнабинолы, все изомеры
|
2932 95
|
различные
|
2
|
|
Тетразепам (INN)
|
2933 91
|
10379–14–3
|
4
|
|
Триазолам (INN)
|
2933 91
|
28911–01–5
|
4
|
|
Феназепам
|
2933 99
|
|
4
|
|
Фендиметразин (INN)
|
2934 91
|
634–03–7
|
4
|
|
Фендиметразина гидрохлорид
|
2934 91
|
|
4
|
|
Фендиметразина гидротартрат (битартрат)
|
2934 91
|
|
4
|
|
Фендиметразина памоат
|
2934 91
|
|
4
|
|
Фенетиллин (INN)
|
2939 51
|
3736–08–1
|
2
|
|
Фенетиллина гидрохлорид
|
2939 51
|
1892–80–4
|
2
|
|
Фенкамфамин (INN)
|
2921 46
|
1209–98–9
|
4
|
|
Фенкамфамина гидрохлорид
|
2921 46
|
2240–14–4
|
4
|
|
Фенметразин (INN)
|
2934 91
|
134–49–6
|
2
|
|
Фенметразина гидрохлорид
|
2934 91
|
1707–14–8
|
2
|
|
Фенметразина гидротартрат (битартрат)
|
2934 91
|
|
2
|
|
Фенметразина сульфат
|
2934 91
|
|
2
|
|
Фенметразина теоклат
|
2939 59
|
13931–75–4
|
2
|
|
Фенобарбитал (INN)
|
2933 53
|
50–06–6
|
4
|
|
Фенобарбитал аммония
|
2933 53
|
|
4
|
|
Фенобарбитала диэтиламин
|
2933 53
|
|
4
|
|
Фенобарбитала диэтиламиноэтанол
|
2933 53
|
|
4
|
|
Фенобарбитала йохимбин
|
2939 79
|
|
4
|
|
Фенобарбитал кальция
|
2933 53
|
58766–25–9
|
4
|
|
Фенобарбитала лизидин
|
2933 53
|
|
4
|
|
Фенобарбитал магния
|
2933 53
|
|
4
|
|
Фенобарбитал натрия магния
|
2933 53
|
|
4
|
|
Фенобарбитал натрия (INN)
|
2933 53
|
57–30–7
|
4
|
|
Фенобарбитала пропилгекседрин
|
2933 53
|
|
4
|
|
Фенобарбитала спартеин
|
2939 79
|
|
4
|
|
Фенобарбитал тетраметиламмония
|
2933 53
|
|
4
|
|
Фенобарбитала хинидин
|
2939 20
|
|
4
|
|
Фенпропорекс (INN)
|
2926 30
|
15686–61–0
|
4
|
|
Фенпропорекса дифенилацетат
|
2926 30
|
|
4
|
|
Фенпропорекса гидрохлорид
|
2926 30
|
18305–29–8
|
4
|
|
Фенпропорекса резинат
|
3003 90
|
|
4
|
|
Фентермин (INN)
|
2921 46
|
122–09–8
|
4
|
|
Фентермина гидрохлорид
|
2921 46
|
1197–21–3
|
4
|
|
Фентермина резинат
|
3003 90
|
|
4
|
|
Фенциклидин (INN) (PCP)
|
2933 33
|
77–10–1
|
2
|
|
Фенциклидина гидробромид
|
2933 33
|
|
2
|
|
Фенциклидина гидрохлорид
|
2933 33
|
956–90–1
|
2
|
|
Флудиазепам (INN)
|
2933 91
|
3900–31–0
|
4
|
|
Флунитразепам (INN)
|
2933 91
|
1622–62–4
|
4
|
|
Флуразепам (INN)
|
2933 91
|
17617–23–1
|
4
|
|
Флуразепама дигидрохлорид
|
2933 91
|
1172–18–5
|
4
|
|
Флуразепама гидрохлорид
|
2933 91
|
36105–20–1
|
4
|
|
4–Фторамфетамин; 4–FA
|
2921 49
|
|
2
|
|
Циклобарбитал (INN)
|
2933 53
|
52–31–3
|
3
|
|
Циклобарбитал кальция
|
2933 53
|
5897–20–1
|
3
|
|
Хлордиазепоксид (INN)
|
2933 91
|
58–25–3
|
4
|
|
Хлордиазепоксида гидрохлорид
|
2933 91
|
438–41–5
|
4
|
|
Хлордиазепоксида дибунат
|
2933 91
|
|
4
|
|
Эстазолам (INN)
|
2933 91
|
29975–16–4
|
4
|
|
Этиламфетамин (INN)
|
2921 46
|
457–87–4
|
4
|
|
Этиламфетамина гидрохлорид
|
2921 46
|
|
4
|
|
Этиллофлазепат (INN)
|
2933 91
|
29177–84–2
|
4
|
|
Этилон
|
2932 99
|
|
2
|
|
Этилфенидат; EPH
|
2933 39
|
|
2
|
|
Этинамат (INN)
|
2924 24
|
126–52–3
|
4
|
|
Этициклидин (PCE) (INN)
|
2921 49
|
2201–15–2
|
1
|
|
Этициклидина (PCE) гидрохлорид
|
2921 49
|
|
1
|
|
Этриптамин (INN)
|
2933 99
|
|
1
|
|
Этриптамина ацетат
|
2933 99
|
|
1
|
|
Этриптамина гидрохлорид
|
2933 99
|
|
1
|
|
Этхлорвинол (INN)
|
2905 51
|
113–18–8
|
4
|
|
Наименование
|
Субпозиция ГС
|
Номер CAS
|
|
N–Ацетилантраниловая кислота
|
2924 23
|
89–52–1
|
|
Альфа–фенилацетоацетонитрил (АФААН)
|
2926 40
|
4468–48–8
|
|
4–Анилин–N–фенетилпиперидин (ANPP)
|
2933 39
|
|
|
Антраниловая кислота
|
2922 43
|
118–92–3
|
|
Ацетон
|
2914 11
|
67–64–1
|
|
Бутанон (этиметилкетон)
|
2914 12
|
78–93–3
|
|
Водорода хлорид (соляная кислота)
|
2806 10
|
7647–01–0
|
|
Диэтиловый простой эфир
|
2909 11
|
60–29–7
|
|
Изосафрол
|
2932 91
|
120–58–1
|
|
Лизергиновая кислота
|
2939 63
|
82–58–6
|
|
3,4–(Метилендиокси)фенил–2–пропанон
|
2932 92
|
4676–39–5
|
|
Норэфедрин
|
2939 44
|
14838–15–4
|
|
Норэфедрина гидрохлорид
|
2939 44
|
154–41–6
|
|
Перманганат калия
|
2841 61
|
7722–64–7
|
|
Пипередин
|
2933 32
|
110–89–4
|
|
Пипередина аурихлорид
|
2843 30
|
|
|
Пипередина гидротартрат (битартрат)
|
2933 32
|
6091–46–9
|
|
Пипередина гидрохлорид
|
2933 32
|
6091–44–7
|
|
Пипередина нитрат
|
2933 32
|
6091–45–8
|
|
Пипередина пикрат
|
2933 32
|
6091–49–2
|
|
Пипередина платинихлорид
|
2843 90
|
|
|
Пипередина тиоцианат
|
2933 32
|
22205–64–7
|
|
Пипередина фосфат
|
2933 32
|
|
|
Пиперональ
|
2932 93
|
120–57–0
|
|
Псевдоэфедрин (INN)
|
2939 42
|
90–82–4
|
|
Псевдоэфедрина гидрохлорид
|
2939 42
|
345–78–8
|
|
Псевдоэфедрина сульфат
|
2939 42
|
7460–12–0
|
|
Сафрол
|
2932 94
|
94–59–7
|
|
Серная кислота
|
2807 00
|
7664–93–9
|
|
Толуол
|
2902 30
|
108–88–3
|
|
Уксусный ангидрид
|
2915 24
|
108–24–7
|
|
N–Фенетил–4–пиперидон (NPP)
|
2933 39
|
|
|
Фенилацетон (бензилметилкетон, фенилпропан–2–он)
|
2914 31
|
103–79–7
|
|
Фенилуксусная кислота
|
2916 34
|
103–82–2
|
|
Эргометрин (INN)
|
2939 61
|
60–79–7
|
|
Эргометрина гидромалеат
|
2939 61
|
129–51–1
|
|
Эргометрина гидрохлорид
|
2939 61
|
74283–21–9
|
|
Эргометрина оксалат
|
2939 61
|
|
|
Эргометрина тартрат
|
2939 61
|
129–50–0
|
|
Эрготамин (INN)
|
2939 62
|
113–15–5
|
|
Эрготамина гидрохлорид
|
2939 62
|
|
|
Эрготамина сукцинат
|
2939 62
|
|
|
Эрготамина тартрат
|
2939 62
|
379–79–3
|
|
Эфедрин
|
2939 41
|
299–42–3
|
|
Эфедрина гидрохлорид
|
2939 41
|
50–98–6
|
|
Эфедрина нитрат
|
2939 41
|
81012–98–8
|
|
Эфедрина сульфат
|
2939 41
|
134–72–5";
|
|
ВЕЩЕСТВО, ПОДЛЕЖАЩЕЕ КОНТРОЛЮ
(СУБПОЗИЦИЯ)
|
ПРЕКУРСОР (П)
НЕОБХОДИМЫЙ РЕАКТИВ (Н)
(СУБПОЗИЦИЯ)
|
СИНОНИМ
|
РЕГИСТРАЦИОННЫЙ НОМЕР В СИСТЕМЕ CAS ДЛЯ (П) ИЛИ (Н) ИЛИ ИХ СОЛЕЙ (С)
|
|
ГЕРОИН или
ДИАЦЕТИЛМОРФИН
(2939 11)
|
(i) Кодеин (П) (2939 11)
|
Кодицепт
Кодуцепт
7,8–Дидегидро–4,5–эпокси–3–метокси–17–метилморфинан–6–ол
Метилморфин
3–О–Метилморфин
Морфинан–6–ол, 7,8–дидегидро–4,5–эпокси–3–метокси–17–метил
Морфин, 3–метиловый простой эфир
Морфина, монометиловый простой эфир
|
76–57–3
52–28–8(С)
|
|
(ii) Морфин (П)
(2939 11)
|
7,8–Дидегидро–4,5–
эпокси–17– метилморфинан–3,6– диол
|
57–27–2
(безводный)
|
|
|
Морфинан–3,6–диол, 7,8–дидегидро–4,5– эпокси–17–метил
|
6009–81–0
(моногидрат)
|
||
|
(iii) Уксусный ангидрид (Н) (2915 24)
|
Ацетангидрид
Ацетоксид
Ацетилоксид
|
108–24–7
|
|
|
Этановый ангидрид
|
|||
|
(iv) Ацетилхлорид (Н) (2915 90)
|
Этаноилхлорид
|
75–36–5
|
|
|
(v) Этилидендиацетат (Н) (2915 39)
|
Уксусной кислоты, этилиденовый сложный эфир 1,1–Диацетоксиэтан
|
542–10–9
|
|
|
КОКАИН или МЕТИЛБЕНЗОИЛЭКГОНИН (2939 71)
|
(i) Ацетон (Н) (2914 11)
|
2–Пропанон
Диметилкетон
в–Кетопропан
Пироуксусный простой эфир
Пропан–2–он
|
67–64–1
|
|
(ii) Диэтиловый эфир (Н) (2909 11)
|
Этиловый простой эфир
Эфир простой
Этоксиэтан
|
60–29–7
|
|
|
Этилоксид
|
|||
|
Диэтилоксид
|
|||
|
Анестезирующий простой эфир
|
|||
|
(iii) Метилэтилкетон (МЭК) (Н) (2914 12)
|
Бутанон
|
78–93–3
|
|
|
ЛИЗЕРГИД (INN) или LSD или N,N–ДИЭТИЛЛИЗЕРГАМИД (2939 69)
|
(i) Эрготамин (INN) (П) (2939 62)
|
5'–Бензил–12'–гидрокси–2'–метилэрготаман–3',6',18–трион
Эрготаман–3',6',18–трион, 12'–гидрокси–2'–метил–5'–(фенилметил)
12'–Гидрокси–2'–метил–5'–(фенилметил)эрготаман–3',6',18–трион
Индоло[4,3–fg]хинолиновое производное эрготаман–3',6',18–триона
8H–Оксазоло[3,2–а]пирроло[2,1–с] пиразиновое производное эрготаман–3',6',18–триона
|
113–15–5
379–79–3(С)
|
|
N–(5–Бензил–10b–гидрокси–2–метил–3,6–диоксопергидрооксазоло–[3,2–а]пиролло[2,1–c]–пиразин–2–ил)–D–лизергамид
|
|||
|
Эргам
Эргат
Эргомар
Эргостат
Эрготамина битартрат
Эрготамина тартрат (2:1) (С) (Эрготамина тартраты)
|
|||
|
Эрготаман–3',6',18–трион,12'–гидрокси–2'–метил–5'–(фенилметил)–2,3–дигидроксибутандиоат (2:1) (С)
Эрготартрат
Этин
Эксмигра
Фемергин
Готамина тартрат
Гинерген
|
|||
|
Линграин
Лингран
Медихалер–эрготамин
Неоэрготин
Ригетамин
Секагин
Секупан
|
|||
|
(ii) Лизергамид (П) (2939 69)
|
9,10–Дидегидро–6– метилэрголин–8– карбоксамид
Эргин
Эрголин–8–карбоксамид, 9,10–дидегидро–6–метил
Индоло[4,3–fg]хинолиновое производное эрголин–8–карбоксамида
|
||
|
(iii) Лизергиновая кислота (П) (2939 63)
|
Эрголин–8–карбоновая кислота, 9,10–дидегидро–6–метил
Индоло[4,3–fg]хинолиновое производное эрголин–8–карбоновой кислоты 4,6,6а,7,8,9–Гексагидро– 7–метилиндоло–[4,3–fg]– хинолин–9–карбоновая кислота
9,10–Дидегидро–6–метилэрголин–8–карбоновая кислота
|
82–58–6
|
|
|
(iv) Метил–6– метилникотинат (П) (2933 39)
|
Метил–6–метилпиридин–3–карбоксилат
6–Метилникотиновая кислота, метиловый сложный эфир
Никотиновая кислота, 6–метил–, метиловый сложный эфир
3–Пиридинкарбоновая кислота,
6–метил–,метиловый сложный эфир
|
5470–70–2
|
|
|
(v) Эргометрин (INN) (P) (2939 61)
|
Эргоновин
Эргобазин
Эрготоцин
Эргостетрин
Эрготрат
Эргоклинин
Синтометрин
9,10–Дидегидро–N–(2–гидрокси–1–метилэтил)–6–метилэрголин–8–карбоксамид
N–(2–Гидрокси–1–метилэтил)лизергамид
2–Пропаноламид
лизергиновой кислоты
|
60–79–7
60–79–7
|
|
|
2–Гидрокси–1–метилэтиламид лизергиновой кислоты
Гидроксипропиллизер–гамид
Базергин
Неофемерген
Корноцентин
Эрметрин
|
129–50–0 (S)
129–51–1 (S)
|
||
|
АМФЕТАМИН (INN)
ИЛИ б–МЕТИЛФЕНЕ
ТИЛАМИН (2921 46)
|
(i) Аллилбензол (П) (2902 90)
|
3–Фенилпроп–1–ен
|
300–57–2
|
|
(ii) Фенилацетон (П) (2914 31)
|
P–2–P
Фенилпропан–2–он
1–Фенил–2–оксопропан
Бензилметилкетон
БМК
|
103–79–7
|
|
|
(iii) Катин (INN) (P) (2939 43)
|
Норпсевдоэфедрин
Адипосеттен N
2–Амино–1–гидрокси–1–фенилпропан
2–Амино–2–метил–1–фенилэтанол
2–Амино–1–фенилпропан–1–ол
б–(1–Аминоэтил)–бензолметанол
E 50
Экспонцит
Осадок Фугоа
Катин
Минискап М.D
Минузин (e)
Норизоэфедрин
1–Фенил–2–
аминопропан–1–ол
Фенилпропаноламин
Псевдонорэфедрин (e)
Редуформ
|
37577–07–04
36393–56–3
492–39–7
|
|
|
(iv) Фенилуксусная кислота (П) (2916 34)
|
Бензолуксусная кислота
б–Толуиловая кислота
|
103–82–2
|
|
|
(v) Формамид (П) (2924 19)
|
Метанамид
Карбамальдегид
Амид муравьиной кислоты
|
75–12–7
|
|
|
(vi) Бензальдегид (П) (2912 21)
|
Бензойный альдегид
Бензолкарбональ
|
100–52–7
|
|
|
(vii) Формиат аммония (Н) (2915 12)
|
Ї
|
540–69–2
|
|
|
(viii) Нитроэтан (Н) (2904 20)
|
Ї
|
79–24–3
|
|
|
(ix) Гидроксиламмоний хлорид (Н) (2825 10)
|
Гидроксиламина гидрохлорид
Оксаммония гидрохлорид
|
5470–11–1
|
|
|
(x) Транс–в–метилстирол (П) (2902 90)
|
1–Фенилпропен
Проп–1–енилбензол
|
873–66–5
|
|
|
МЕТИЛЕНДИОКСИ–АМФЕТАМИН или MDA или б–МЕТИЛ–3,4–МЕТИЛЕНДИО–КСИФЕНЕТИЛАМИН
(2932 99)
|
(i) Пиперональ (П) (2932 93)
|
1,3–Бензодиоксол–5–карбальдегид
Метиленовый простой эфир протокатехальдегида
1,3–Бензодиоксол–5–карбальдегид
3,4– (Метилендиокси)бенз–альдегид
Гелиотропин
Пиперонилальдегид
Диоксиметиленпротока–техиновый альдегид
|
120–57–0
|
|
(ii) Сафрол (П) (2932 94)
|
5–Аллил–1,3–бензодиоксол
1,2–Метилендиокси–4–проп–2–енилбензол
5–Проп–2–енил–1,3–бензодиоксол
|
94–59–7
|
|
|
(iii)Изосафрол (П) (2932 91)
|
5–Проп–1–енил–1,3–бензодиоксол
1,2–Метилендиокси–4–проп–1–енилбензол
|
120–58–1
|
|
|
(iv) Нитроэтан (Н) (2904 20)
|
Ї
|
79–24–3
|
|
|
(v) 1–(1,3–Бензодиоксол–5–ил) пропан–2–он (П) (2932 92)
|
3,4–Метилендиоксифенил–ацетон
3,4–Метилендиоксифенил–пропан–2–он
|
4676–39–5
|
|
|
(vi) Формиат аммония (Н) (2915 12)
|
Ї
|
540–69–2
|
|
|
(vii) Гидроксил–аммония хлорид (Н) (2825 10)
|
Гидроксиламина гидрохлорид
Оксаммония гидрохлорид
|
5470–11–1
|
|
|
(viii)Формамид (Н) (2924 19)
|
Метанамид
Карбомальдегид
Амид муравьиной кислоты
|
75–12–7
|
|
|
МЕТАМФЕТАМИН
(INN) ИЛИ 2–
МЕТИЛАМИНО–1–
ФЕНИЛПРОПАН ИЛИ
ДЕЗОКСИЭФЕДРИН
(2939 71)
|
(i) Фенилацетон (П) (2914 31)
|
P–2–P
Фенилпропан–2–он
1–Фенил–2–оксопропан
Бензилметилкетон
БМК
|
103–79–7
|
|
(ii) N–Метилформамид (П) (2924 19))
|
Метилформамид
|
123–39–7
|
|
|
(iii) Бензилхлорид (П) (2903 99)
|
Хлорметилбензол
б–Хлортолуол
|
100–44–7
|
|
|
(iv) Эфедрин (П) (2939 41)
|
1–Фенил–1–гидрокси–2–метиламинопропан
2–Метиламино–1–фенилпропан–1–ол
|
299–42–3
|
|
|
(v) Метиламин (П) (2921 11)
|
Аминометан
Монометиламин
Метанамин
|
74–89–5
|
|
|
(vi) Фенилуксусная кислота (П) (2916 34)
|
Бензолуксусная кислота
б– Толуиловая кислота
|
103–82–2
|
|
|
(vii) Бензальдегид (П) (2912 21)
|
Бензойный альдегид
Бензолкарбональ
|
100–52–7
|
|
|
МЕТИЛЕНДИОКСИ–МЕТАМФЕТАМИН или MDMA или б–МЕТИЛ–3,4–МЕТИЛЕНДИОКСИ–ФЕНЕТИЛ (МЕТИЛ)АМИН или ХТС (экстази) (2932 99)
|
(i) Метиламин (Н) (2921 11)
|
Аминометан
Монометиламин
Метанамин
|
74–89–5
|
|
(ii) Пиперональ (П) (2932 93)
|
1,3–Бензодиоксол–5–карбальдегид
Метиленовый простой эфир протокатехальдегида
1,3–Бензодиоксол–5–карбоксальдегид
3,4–(Метилендиокси) бензальдегид
Гелиотропин
Пиперонилальдегид
Диоксиметиленпрото–катехиновый альдегид
|
120–57–0
|
|
|
(iii) Сафрол (П) (2932 94)
|
5–Аллил–1,3–бензодиоксол
1,2–Метилендиокси–4–проп–2–енилбензол
5–Проп–2–енил–1,3–бензодиоксол
|
94–59–7
|
|
|
(iv) Изосафрол (П) (2932 91)
|
5–Проп–1–енил–1,3–бензодиоксол
1,2–Метилендиокси–4–проп–1–енилбензол
|
120–58–1
|
|
|
(v) Нитроэтан (Н) (2904 20)
|
Ї
|
79–24–3
|
|
|
(vi) 1–(1,3–Бензодиоксол–5–ил) пропан–2–он (П) (2932 92)
|
3,4–Метилендиоксифенил–ацетон
3,4–Метилендиоксифенил–пропан–2–он
|
4676–39–5
|
|
|
МЕТАКВАЛОН (INN) или 2–МЕТИЛ–3–О–ТОЛИЛ 4–(3Н)–ХИНАЗОЛИНОН (2933 55)
|
(i) Антраниловая кислота (П) (2922 43)
|
о–Аминобензойная кислота
2–Аминобензойная кислота
|
118–92–3
|
|
(ii) о–Толуидин (П) (2921 43)
|
о–Аминотолуол
2–Аминотолуол
|
95–53–4
|
|
|
(iii) о–Нитротолуол (П) (2904 20)
|
1–Метил–2–нитробензол
2–Нитротолуол
|
88–72–2
|
|
|
(iv) Уксусный ангидрид (Н) (2915 24)
|
Ацетангидрид
Ацетоксид
Ацетилоксид
Этановый ангидрид
|
108–24–7
|
|
|
(v) 2–Метил–1,3–бензоксазол (П) (2934 99)
|
Ї
|
95–21–6
|
|
|
(vi) 2–Ацетамидобензойная кислота (П) (2924 23)
|
2– Ацетиламинобензойная кислота
о–Ацетиламинобензойная кислота
N–Ацетилантраниловая кислота
|
89–52–1
|
|
|
МЕСКАЛИН или 3,4,5–ТРИМЕТОКСИ–ФЕНЕТИЛАМИН (2939 79)
|
(i) 3,4,5–Триметоксибенз–альдегид (П) (2912 49)
|
3,4,5–Триметоксиформил–бензол
|
86–81–7
|
|
(ii) 3,4,5–Триметоксибензойная кислота (П) (2918 99)
|
Триметиловый эфир галловой кислоты
|
118–41–2
|
|
|
(iii) 3,4,5–Триметоксибензоил–хлорид (П) (2918 99)
|
Ї
|
4521–61–3
|
|
|
(iv) 3,4,5–Триметоксибен–зиловый спирт (П) (2909 49)
|
Ї
|
3840–31–1
|
|
|
(v) Нитрометан (Н) (2904 20)
|
Ї
|
75–52–5
|
|
|
ФЕНЦИКЛИДИН (INN) или PCP или 1–(1–ФЕНИЛЦИКЛО–ГЕКСИЛ) ПИПЕРИДИН (2933 33)
|
(i) Пиперидин (П) (субпозиция 2933 32)
|
Гексагидропиридин
Пентаметиленимин
|
110–89–4
|
|
(ii) Циклогексанон (П) (2914 22)
|
Пимелиновый кетон
Кетогексаметилен
Хитрол o
Анон
Надон
|
108–94–1
|
|
|
(iii) Бромбензол (П) (2903 99)
|
Монобромбензол
Фенилбромид
|
108–86–1
|
|
Товарная позиция
|
Пункт
|
Описание в пояснениях
|
Химическая структура
|
||
|
Общие положения
|
(Ж)
|
Классификация сложных эфиров, солей и некоторых галогенопроизводных
|
|||
|
(1)
|
Сложные эфиры
|
||||
|
(а)
|
![]() |
||||
|
(б)
|
![]() |
||||
|
(в)
|
![]() |
||||
|
(Ж)
|
(1)
|
(г)
|
![]() |
||
|
(г)
|
![]() |
||||
|
(2)
|
Соли
|
||||
|
(а)
(i)
|
![]() |
||||
|
(G)
|
(2)
|
(а)
(i)
|
![]() |
||
|
(ii)
|
![]() |
||||
|
(б)
(i)
|
![]() |
||||
|
(ii)
|
![]() |
||||
|
(Ж)
|
(4)
|
Галогенангидриды карбоновых кислот (Изобутирилхлорид: 2915)
|
![]() |
||
|
2902
|
Углеводороды циклические
|
||||
|
(Б)
|
ЦИКЛОТЕРПЕНЫ
|
||||
|
(3)
|
Лимонен
|
![]() |
|||
|
(В)
|
АРОМАТИЧЕСКИЕ УГЛЕВОДОРОДЫ
|
||||
|
(I)
|
(в)
|
о–ксилол
|
![]() |
||
|
(г)
(1)
|
стирол
|
![]() |
|||
|
(г)
(4)
|
п–Кумол
|
![]() |
|||
|
2903
|
Галогенированные производные углеводородов
|
||||
|
(Е)
|
ГАЛОГЕНИРОВАННЫЕ ПРОИЗВОДНЫЕ АРОМАТИЧЕСКИХ УГЛЕВОДОРОДОВ
|
||||
|
(2903)
|
(Е)
|
(6)
|
ДДТ (ISO) (клофенотан (INN), 1,1,1–трихлор–2,2–бис(п–хлорфенил)этан или дихлордифенилтрихлорэтан)
|
![]() |
|
|
(11)
|
2,2',4,4',5,5'–гексабромбифенил
|
![]() |
|||
|
2904
|
Сульфированные, нитрованные или нитрозированные производные углеводородов, галогенированные или негалогенированные
|
||||
|
(А)
|
СУЛЬФИРОВАННЫЕ ПРОИЗВОДНЫЕ
|
||||
|
(1)
|
(а)
|
Этиленсульфокислота
|
![]() |
||
|
(Б)
|
НИТРОВАННЫЕ ПРОИЗВОДНЫЕ
|
||||
|
(1)
|
(г)
|
Тринитрометан
|
CH(NO2)3
|
||
|
(В)
|
НИТРОЗИРОВАННЫЕ ПРОИЗВОДНЫЕ
|
||||
|
(2)
|
Нитрозотолуол
|
![]() |
|||
|
(2904)
|
(Г)
|
СУЛЬФОГАЛОГЕНИРОВАННЫЕ ПРОИЗВОДНЫЕ
|
|||
|
(1)
|
Хлорбензолсульфокислота
|
![]() |
|||
|
(5)
|
Перфтороктансульфоновая кислота (PFOS)
|
![]() |
|||
|
2905
|
Спирты ациклические и их галогенированные, сульфированные, нитрованные или нитрозированные производные
|
||||
|
(Б)
|
НЕНАСЫЩЕННЫЕ МОНОСПИРТЫ
|
||||
|
(1)
|
Аллиловый спирт
|
|
|||
|
(В)
|
ДИОЛЫ И ПРОЧИЕ ПОЛИСПИРТЫ
|
||||
|
(II)
|
(4)
|
Маннит
|
![]() |
||
|
2906
|
Спирты циклические и их галогенированные, сульфированные, нитрованные или нитрозированные производные
|
||||
|
(А)
|
ЦИКЛОАЛКАНОВЫЕ, ЦИКЛОАЛКЕНОВЫЕ ИЛИ ЦИКЛОТЕРПЕНОВЫЕ СПИРТЫ И ИХ ГАЛОГЕНИРОВАННЫЕ, СУЛЬФИРОВАННЫЕ, НИТРОВАННЫЕ ИЛИ НИТРОЗИРОВАННЫЕ ПРОИЗВОДНЫЕ
|
||||
|
(1)
|
Ментол
|
![]() |
|||
|
2907
|
Фенолы; фенолоспирты
|
||||
|
(А)
|
МОНОЯДЕРНЫЕ МОНОФЕНОЛЫ
|
||||
|
(2)
|
Крезол(ы)
|
![]() |
|||
|
(2907)
|
(Б)
|
ПОЛИЯДЕРНЫЕ МОНОФЕНОЛЫ
|
|||
|
(1)
|
Нафтол(ы)
|
![]() |
|||
|
(В)
|
ПОЛИФЕНОЛЫ
|
||||
|
(1)
|
Резорцин
|
![]() |
|||
|
(3)
|
Бисфенол А
|
![]() |
|||
|
2909
|
Эфиры простые, эфироспирты, эфирофенолы, эфироспиртофенолы, пероксиды спиртов, простых эфиров и кетонов (определенного или неопределенного химического состава) и их галогенированные, сульфированные, нитрованные или нитрозированные производные
|
||||
|
(В)
|
ЭФИРОФЕНОЛЫ И ЭФИРОСПИРТОФЕНОЛЫ
|
||||
|
(1)
|
Гваякол
|
![]() |
|||
|
(Г)
|
ПЕРОКСИДЫ СПИРТОВ, ПРОСТЫХ ЭФИРОВ И КЕТОНОВ
|
||||
|
Пероксиды кетонов (пероксид циклогексанона)
|
![]() |
||||
|
2910
|
Эпоксиды, эпоксиспирты, эпоксифенолы и эпоксиэфиры, содержащие в структуре трехчленное кольцо, и их галогенированные, сульфированные, нитрованные или нитрозированные производные
|
||||
|
(1)
|
Оксиран (этиленоксид)
|
![]() |
|||
|
2911
|
Ацетали и полуацетали, содержащие или не содержащие другую кислородсодержащую функциональную группу, и их галогенированные, сульфированные, нитрованные или нитрозированные производные
|
||||
|
(А)
|
АЦЕТАЛИ И ПОЛУАЦЕТАЛИ
|
![]() |
|||
|
Пероксикетали 1,1–ди(трет–бутилперокси)циклогексан
|
![]() |
||||
|
2912
|
Альдегиды, содержащие или не содержащие другую кислородсодержащую функциональную группу; полимеры альдегидов циклические; параформальдегид
|
||||
|
(А)
|
АЛЬДЕГИДЫ
|
![]() |
|||
|
(IV)
|
(1)
|
Бензальдегид
|
![]() |
||
|
(В)
|
АЛЬДЕГИДЫ ПРОСТЫХ ЭФИРОВ, АЛЬДЕГИДОФЕНОЛЫ И АЛЬДЕГИДЫ, СОДЕРЖАЩИЕ ДРУГУЮ КИСЛОРОДСОДЕРЖАЩУЮ ФУНКЦИОНАЛЬНУЮ ГРУППУ
|
||||
|
(2912)
|
(В)
|
(1)
|
Ванилин
|
![]() |
|
|
(Г)
|
ЦИКЛИЧЕСКИЕ ПОЛИМЕРЫ АЛЬДЕГИДОВ
|
||||
|
(1)
|
Триоксан
|
![]() |
|||
|
2914
|
Кетоны и хиноны, содержащие или не содержащие другую кислородсодержащую функциональную группу, и их галогенированные, сульфированные, нитрованные или нитрозированные производные
|
||||
|
(А)
|
КЕТОНЫ
|
![]() |
|||
|
(8)
|
Диацетил
|
![]() |
|||
|
(9)
|
Ацетилацетон
|
![]() |
|||
|
(10)
|
Ацетонилацетон
|
![]() |
|||
|
(II)
|
(1)
|
Камфора
|
![]() |
||
|
(2914)
|
(Д)
|
ХИНОНЫ
|
|||
|
(1)
|
Антрахинон
|
![]() |
|||
|
(2914)
|
(Е)
|
ХИНОНОСПИРТЫ, ХИНОНОФЕНОЛЫ, ХИНОНОАЛЬДЕГИДЫ И ПРОЧИЕ ХИНОНЫ, СОДЕРЖАЩИЕ ДРУГУЮ КИСЛОРОДСОДЕРЖАЩУЮ ФУНКЦИОНАЛЬНУЮ ГРУППУ
|
|||
|
(4)
|
Коэнзим Q10 (убидекаренон (INN))
|
![]() |
|||
|
2915
|
Кислоты ациклические монокарбоновые насыщенные и их ангидриды, галогенангидриды, пероксиды и пероксикислоты; их галогенированные, сульфированные, нитрованные или нитрозированные производные
|
||||
|
(В)
|
ПЕРОКСИДЫ КИСЛОТ
|
![]() |
|||
|
(V)
|
(а)
|
н–Масляная кислота
|
CH3CH2CH2COOH
|
||
|
2916
|
Кислоты ациклические монокарбоновые ненасыщенные, кислоты циклические монокарбоновые, их ангидриды, галогенангидриды, пероксиды и пероксикислоты; их галогенированные, сульфированные, нитрованные или нитрозированные производные
|
||||
|
(А)
|
НЕНАСЫЩЕННЫЕ АЦИКЛИЧЕСКИЕ МОНОКАРБОНОВЫЕ КИСЛОТЫ И ИХ СОЛИ, СЛОЖНЫЕ ЭФИРЫ И ПРОЧИЕ ПРОИЗВОДНЫЕ
|
||||
|
(1)
|
Акриловая кислота
|
![]() |
|||
|
(2916)
|
(В)
|
АРОМАТИЧЕСКИЕ НАСЫЩЕННЫЕ МОНОКАРБОНОВЫЕ КИСЛОТЫ И ИХ СОЛИ, СЛОЖНЫЕ ЭФИРЫ И ПРОЧИЕ ПРОИЗВОДНЫЕ
|
|||
|
(1)
|
Бензойная кислота
|
![]() |
|||
|
(а)
|
Пероксид бензоила
|
![]() |
|||
|
(В)
|
(1)
|
(б)
|
Бензоилхлорид
|
![]() |
|
|
2917
|
Кислоты поликарбоновые, их ангидриды, галогенангидриды, пероксиды и пероксикислоты; их галогенированные, сульфированные, нитрованные или нитрозированные производные
|
||||
|
(А)
|
АЦИКЛИЧЕСКИЕ ПОЛИКАРБОНОВЫЕ КИСЛОТЫ И ИХ СЛОЖНЫЕ ЭФИРЫ, СОЛИ И ПРОИЗВОДНЫЕ
|
||||
|
(2917)
|
(3)
|
Азелаиновая кислота
|
HOOC(CH2)7COOH
|
||
|
(А)
|
(5)
|
Малеиновый ангидрид
|
![]() |
||
|
(В)
|
АРОМАТИЧЕСКИЕ ПОЛИКАРБОНОВЫЕ КИСЛОТЫ, ИХ СЛОЖНЫЕ ЭФИРЫ, СОЛИ И ПРОЧИЕ ПРОИЗВОДНЫЕ
|
||||
|
(1)
|
Фталевый ангидрид
|
![]() |
|||
|
(2)
|
Терефталевая кислота
|
![]() |
|||
|
2918
|
Кислоты карбоновые, содержащие дополнительную кислородсодержащую функциональную группу, и их ангидриды, галогенангидриды, пероксиды и пероксикислоты; их галогенированные, сульфинированные, нитрованные или нитрозированные производные
|
||||
|
(А)
|
КАРБОНОВЫЕ КИСЛОТЫ, СОДЕРЖАЩИЕ СПИРТОВУЮ ФУНКЦИОНАЛЬНУЮ ГРУППУ, И ИХ СЛОЖНЫЕ ЭФИРЫ, СОЛИ И ПРОЧИЕ ПРОИЗВОДНЫЕ
|
||||
|
(3)
|
Лимонная кислота
|
![]() |
|||
|
(6)
|
Фенилгликолевая кислота
|
![]() |
|||
|
(8)
|
2,2–дифенил–2–гидроксиуксусная кислота (бензиловая кислота)
|
![]() |
|||
|
(Б)
|
КАРБОНОВЫЕ КИСЛОТЫ, СОДЕРЖАЩИЕ ФЕНОЛЬНУЮ ФУНКЦИОНАЛЬНУЮ ГРУППУ, И ИХ СЛОЖНЫЕ ЭФИРЫ, СОЛИ И ПРОЧИЕ ПРОИЗВОДНЫЕ
|
||||
|
(2918)
|
(В)
|
(I)
|
Салициловая кислота
|
![]() |
|
|
2919
|
Эфиры фосфорной кислоты сложные и их соли, включая лактофосфаты; их галогенированные, сульфированные, нитрованные или нитрозированные производные
|
![]() |
|||
|
(3)
|
Трибутилфосфат
|
![]() |
|||
|
2920
|
Сложные эфиры прочих неорганических кислот неметаллов (кроме сложных эфиров галогенводородов) и их соли; их галогенированные, сульфированные, нитрованные или нитрозированные производные
|
||||
|
(А)
|
Сложные эфиры тиофосфорной кислоты
|
||||
|
О,О – дибутилдитиофосфаты натрия
|
![]() |
||||
|
(2920)
|
(Б)
|
Сложные эфиры фосфита и их соли
|
|||
|
Диметилфосфит
|
![]() |
||||
|
(Г)
|
Сложные эфиры азотистой и азотной кислот
|
||||
|
(2920)
|
(Г)
|
Метилнитрит
|
CH3ONO
|
||
|
Нитроглицерин
|
![]() |
||||
|
(Д)
|
Сложные эфиры угольной или перугольной кислот и их соли
|
||||
|
(1)
|
Дигваяцилкарбонат
|
![]() |
|||
|
(Е)
|
Сложные эфиры кремниевой кислоты и их соли
|
||||
|
Тетраэтилсиликат
|
![]() |
||||
|
2921
|
Соединения, содержащие аминную функциональную группу
|
![]() |
|||
|
(А)
|
АЦИКЛИЧЕСКИЕ МОНОАМИНЫ И ИХ ПРОИЗВОДНЫЕ; СОЛИ ЭТИХ СОЕДИНЕНИЙ
|
||||
|
(4)
|
Этиламин
|
CH3–CH2–NH2
|
|||
|
(2921)
|
(Б)
|
АЦИКЛИЧЕСКИЕ ПОЛИАМИНЫ И ИХ ПРОИЗВОДНЫЕ; СОЛИ ЭТИХ СОЕДИНЕНИЙ
|
|||
|
(2)
|
Гексаметилендиамин
|
![]() |
|||
|
(Г)
|
АРОМАТИЧЕСКИЕ МОНОАМИНЫ И ИХ ПРОИЗВОДНЫЕ; СОЛИ ЭТИХ СОЕДИНЕНИЙ
|
||||
|
(1)
|
Анилин
|
![]() |
|||
|
(2)
|
Толуидин(ы)
|
![]() |
|||
|
(4)
|
1–Нафтиламин
|
![]() |
|||
|
(Д)
|
АРОМАТИЧЕСКИЕ ПОЛИАМИНЫ И ИХ ПРОИЗВОДНЫЕ; СОЛИ ЭТИХ СОЕДИНЕНИЙ
|
||||
|
(2921)
|
(Д)
|
(1)
|
Фенилендиамин(ы)
|
![]() |
|
|
2922
|
Аминосоединения, включающие кислородсодержащую функциональную группу
|
||||
|
(А)
|
АМИНОСПИРТЫ, ИХ ПРОСТЫЕ И СЛОЖНЫЕ ЭФИРЫ; СОЛИ ЭТИХ СОЕДИНЕНИЙ
|
||||
|
(1)
|
Моноэтаноламин
|
![]() |
|||
|
(Б)
|
АМИНОНАФТОЛЫ И ПРОЧИЕ АМИНОФЕНОЛЫ, ИХ ПРОСТЫЕ И СЛОЖНЫЕ ЭФИРЫ; СОЛИ ЭТИХ СОЕДИНЕНИЙ
|
||||
|
(1)
|
Аминогидроксинафтал инсульфокислоты
|
![]() |
|||
|
(2922)
|
(Б)
|
(а)
|
Анизидин(ы)
|
![]() |
|
|
(б)
|
Дианизидин(ы)
|
![]() |
|||
|
(Г)
|
АМИНОКИСЛОТЫ И ИХ СЛОЖНЫЕ ЭФИРЫ; СОЛИ ЭТИХ СОЕДИНЕНИЙ
|
||||
|
(1)
|
Лизин
|
![]() |
|||
|
2923
|
Соли и гидроксиды четвертичного аммониевого основания; лецитины и фосфоаминолипиды прочие, определенного или неопределенного химического состава
|
||||
|
(1)
|
Холин (холина гидроксид)
|
![]() |
|||
|
(2923)
|
(2)
|
Лецитин
|
![]() |
||
|
2924
|
Соединения, содержащие карбоксамидную функциональную группу; соединения угольной кислоты, содержащие амидную функциональную группу
|
||||
|
(Б)
|
ЦИКЛИЧЕСКИЕ АМИДЫ
|
||||
|
(1)
|
(ii)
|
Диэтилдифенилмочевина
|
![]() |
||
|
2925
|
Соединения, содержащие карбоксимидную функциональную группу (включая сахарин и его соли), и соединения, содержащие иминную функциональную группу
|
||||
|
(А)
|
ИМИДЫ
|
||||
|
(1)
|
Сахарин
|
![]() |
|||
|
(Б)
|
ИМИНЫ
|
||||
|
(1)
|
гуанидин
|
![]() |
|||
|
(2925)
|
(Б)
|
(1)
|
(а)
|
Дифенилгуанидин
|
![]() |
|
(3)
|
Простые иминоэфиры
|
![]() |
|||
|
2926
|
Соединения, содержащие нитрильную функциональную группу
|
||||
|
(1)
|
Акрилонитрил
|
|
|||
|
(2)
|
1–Цианогуанидин
|
![]() |
|||
|
(19)
|
Альфа фенилацетоацетонитрил (APAAN)
|
![]() |
|||
|
2927
|
Диазо–, азо– или азоксисоединения
|
||||
|
(А)
|
ДИАЗОСОЕДИНЕНИЯ
|
||||
|
(2927)
|
(А)
|
(1)
|
(а)
|
Хлорид бензолдиазония
|
![]() |
|
(Б)
|
АЗОСОЕДИНЕНИЯ
|
R1N=NR2
|
|||
|
(В)
|
АЗОКСИСОЕДИНЕНИЯ
|
R1–N2O–R2
|
|||
|
(1)
|
Азоксибензол
|
![]() |
|||
|
2928
|
Производные гидразина или гидроксиламина органические
|
||||
|
(1)
|
Фенилгидразин
|
![]() |
|||
|
(11)
|
Фенилглиоксим
|
![]() |
|||
|
2929
|
Соединения, содержащие другие азотсодержащие функциональные группы
|
||||
|
(1)
|
Изоцианаты
|
![]() |
|||
|
Подгр. X Общие положения
|
ОРГАНО–НЕОРГАНИЧЕСКИЕ СОЕДИНЕНИЯ, ГЕТЕРОЦИКЛИЧЕСКИЕ СОЕДИНЕНИЯ, НУКЛЕИНОВЫЕ КИСЛОТЫ И ИХ СОЛИ, СУЛЬФОНАМИДЫ
|
||||
|
(А)
|
ПЯТИЧЛЕННЫЕ КОЛЬЦА
|
||||
|
(1)
|
(а)
|
Фуран
|
![]() |
||
|
(б)
|
Тиофен
|
![]() |
|||
|
(в)
|
Пиррол
|
![]() |
|||
|
(2)
|
(а)
|
Оксазол
|
![]() |
||
|
(Общие положения)
|
(А)
|
(2)
|
(а)
|
Изоксазол
|
![]() |
|
(б)
|
Тиазол
|
![]() |
|||
|
(в)
|
Имидазол
|
![]() |
|||
|
(c)
|
Пиразол
|
![]() |
|||
|
(3)
|
(а)
|
Фуразан
|
![]() |
||
|
(Общие положения)
|
(А)
|
(3)
|
(б)
|
Триазол (1,2,4–Триазол
|
![]() |
|
(в)
|
Тетразол
|
![]() |
|||
|
(Б)
|
ШЕСТИЧЛЕННЫЕ КОЛЬЦА
|
||||
|
(1)
|
(а)
|
Пиран (2H– Пиран)
|
![]() |
||
|
(б)
|
Тиин
|
![]() |
|||
|
(в)
|
Пиридин
|
![]() |
|||
|
(Общие положения)
|
(В)
|
(2)
|
(а)
|
Оксазин (1,4–Оксазин)
|
![]() |
|
(б)
|
Тиазин (1,4–Тиазин)
|
![]() |
|||
|
(в)
|
Пиридазин
|
![]() |
|||
|
(в)
|
Пиримидин
|
![]() |
|||
|
(в)
|
Пиразин
|
![]() |
|||
|
(Общие положения)
|
(Б)
|
(2)
|
(в)
|
Пиперазин
|
![]() |
|
(В)
|
ПРОЧИЕ БОЛЕЕ СЛОЖНЫЕ ГЕТЕРОЦИКЛИЧЕСКИЕ СОЕДИНЕНИЯ
|
||||
|
(а)
|
Кумарон
|
![]() |
|||
|
(б)
|
Бензопиран
|
![]() |
|||
|
(в)
|
Ксантен
|
![]() |
|||
|
(г)
|
Индол
|
![]() |
|||
|
(Общие положения)
|
(В)
|
(д)
|
Хинолин и изохинолин
|
![]() |
|
|
(е)
|
Акридин
|
![]() |
|||
|
(ж)
|
Бензотиофен (Тионафтен)
|
![]() |
|||
|
(з)
|
Индазол
|
![]() |
|||
|
(и)
|
Бензимидазол
|
![]() |
|||
|
(Общие положения)
|
(В)
|
(к)
|
Феназин
|
![]() |
|
|
(л)
|
Феноксазин
|
![]() |
|||
|
(м)
|
Бензоксазол
|
![]() |
|||
|
(н)
|
Карбазол
|
![]() |
|||
|
(о)
|
Хиназолин
|
![]() |
|||
|
(Общие положения)
|
(В)
|
(п)
|
Бензотиазол
|
![]() |
|
|
2930
|
Соединения сероорганические
|
Соединения с С–S связью
|
|||
|
(А)
|
ДИТИОКАРБОНАТЫ (КСАНТОГЕНАТЫ)
|
ROC(S)SR1 R1 = металл или органический радикал
|
|||
|
(1)
|
Этилдитиокарбонат натрия
|
![]() |
|||
|
(Б)
|
ТИОКАРБАМАТЫ, ДИТИОКАРБАМАТЫ И ТИУРАМСУЛЬФИДЫ
|
||||
|
(2)
|
Дитиокарбаматы
|
![]() |
|||
|
(В)
|
СУЛЬФИДЫ (ИЛИ ПРОСТЫЕ ТИОЭФИРЫ)
|
|
|||
|
(1)
|
Метионин
|
![]() |
|||
|
(Г)
|
ТИОАМИДЫ
|
![]() |
|||
|
(2930)
|
(Г)
|
(2)
|
Тиокарбанилид
|
![]() |
|
|
2931
|
Соединения органо–неорганические прочие
|
||||
|
(3)
|
Фосфорорганические соединения
|
Соединения с C – P связью
|
|||
|
(а)
|
Диметилметилфосфонат
|
![]() |
|||
|
(4)
|
Кремнийорганические соединения
|
Соединения с С – Si связью
|
|||
|
Гексаметилдисилоксан
|
![]() |
||||
|
2932
|
Соединения гетероциклические, содержащие лишь гетероатом(ы) кислорода
|
||||
|
(А)
|
Соединения, содержащие в структуре неконденсированное фурановое кольцо (гидрированное или негидрированное
|
См. структуру фурана на стр.182 в подгруппе X пункте (A) (1) (a))
|
|||
|
(2)
|
2–Фуральдегид
|
![]() |
|||
|
(3)
|
Фурфуриловый спирт
|
![]() |
|||
|
(5)
|
Сукралоза
|
![]() |
|||
|
(2932)
|
(Б)
|
Лактоны
|
![]() |
||
|
(а)
|
Кумарин
|
![]() |
|||
|
(п)
|
Фенолфталеин
|
![]() |
|||
|
(В)
|
Прочие гетероциклические соединения, содержащие лишь гетероатом(ы) кислорода
|
||||
|
(5)
|
Сафрол
|
![]() |
|||
|
(2932)
|
(В)
|
(10)
|
1–(1,3–Бензодиоксол–5–ил)пропан–2–он
|
![]() |
|
|
Пример сложных эфиров (лактон), образующих часть двух колец (пояснения к субпозициям)
|
![]() |
||||
|
Пример дилактона (пояснения к субпозициям)
|
![]() |
||||
|
Внутренние полуацетали
|
![]() |
||||
|
(2932)
|
Пероксиды кетонов (исключение) – см. 2909
|
![]() |
|||
|
2933
|
Соединения гетероциклические, содержащие лишь гетероатом(ы) азота
|
||||
|
(А)
|
Соединения, содержащие в структуре неконденсированное пиразольное кольцо (гидрированное или негидрированное)
|
(См. структуру пиразола на стр. 183 в подгруппе Х пункте (А) (2) (в))
|
|||
|
(1)
|
Феназон
|
![]() |
|||
|
(Б)
|
Соединения, содержащие в структуре неконденсированное имидазольное кольцо (гидрированное или негидрированное)
|
(См. структуру имидазола на стр. 183 в подгруппе Х пункте (А) (2) (в))
|
|||
|
(1)
|
Гидантоин
|
![]() |
|||
|
(В)
|
Соединения, содержащие в структуре неконденсированное пиридиновое кольцо (гидрированное или негидрированное)
|
(См. структуру пиридина на стр. 183 – в подгруппе Х пункте (Б) (1) (в))
|
|||
|
(2933)
|
(Г)
|
Соединения, содержащие в структуре хинолиновую или изохинолиновую кольцевую систему (гидрированную или негидрированную) без дальнейшей конденсации
|
См. структуру хинолина и изохинолина на стр. 185 в подгруппе Х пункте (В) (д))
|
||
|
(4)
|
Тетрагидрометилхинолин (5,6,7,8 – тетрагидрометилхинолин)
|
![]() |
|||
|
(Д)
|
Соединения, содержащие в структуре пиримидиновое кольцо (гидрированное или негидрированное) или пиперазиновое кольцо
|
(См. структуру пиримидина на стр. 184 в подгруппе Х пункте (Б) (2) (в))
|
|||
|
(1)
|
Малонилмочевина (кислота барбитуровая)
|
![]() |
|||
|
(Е)
|
Соединения, содержащие в структуре неконденсированное триазиновое кольцо (гидрированное или негидрированное)
|
![]() |
|||
|
(2933)
|
(Е)
|
(1)
|
Меламин
|
![]() |
|
|
(Ж)
|
Лактамы
|
![]() |
|||
|
(З)
|
Прочие гетероциклические соединения, содержащие лишь гетероатом(ы) азота
|
||||
|
(1)
|
Карбазол
|
![]() |
|||
|
(2)
|
Акридин
|
(См. структуру акридина на стр. 185 в подгруппе Х пункте (В) (е))
|
|||
|
(2933)
|
Оксазепам (пояснения к субпозициям)
|
![]() |
|||
|
Пример амида (лактам), образующего часть двух колец
|
![]() |
||||
|
2934
|
Нуклеиновые кислоты и их соли, определенного или неопределенного химического состава; гетероциклические соединения прочие
|
||||
|
(А)
|
Соединения, содержащие в структуре неконденсированное тиазольное кольцо (гидрированное или негидрированное)
|
(См. структуру тиазола на стр. 183 в подгруппе Х пункте (А) (2) (б))
|
|||
|
(Б)
|
Соединения, содержащие в структуре бензотиазольную кольцевую систему (гидрированную или негидрированную), без дальнейшей конденсации
|
(См. структуру бензотиазола на стр.186 в подгруппе Х пункте (В) (п))
|
|||
|
(В)
|
Соединения, содержащие в структуре фенотиазиновую кольцевую систему (гидрированную или негидрированную), без дальнейшей конденсации
|
![]() |
|||
|
(Г)
|
Прочие гетероциклические соединения
|
||||
|
(2934)
|
(Г)
|
(1)
|
Сультоны
|
![]() |
|
|
(а)
|
Фенолсульфофталеин
|
![]() |
|||
|
(2)
|
Сультамы
|
![]() |
|||
|
(4)
|
Фуразолидон (INN)
|
![]() |
|||
|
2935
|
Сульфонамиды
|
![]() |
|||
|
(1)
|
Перфтороктансульфонамид
|
![]() |
|||
|
(5)
|
п–Аминобензолсульфонамид
|
![]() |
|||
|
2937
|
Гормоны, простагландины, тромбоксаны и лейкотриены, природные или синтезированные; их производные и структурные аналоги, включающие цепочечные модифицированные полипептиды, используемые в основном в качестве гормонов
|
||||
|
(V)
|
Аналоги гормонов, простагландинов, тромбоксанов и лейкотриенов
|
||||
|
(б)
|
Гонан
|
![]() |
|||
|
(2937)
|
(Б)
|
СТЕРОИДНЫЕ ГОРМОНЫ, ИХ ПРОИЗВОДНЫЕ И СТРУКТУРНЫЕ АНАЛОГИ
|
|||
|
(1)
|
Кортикостероидные гормоны
|
||||
|
(а)
|
Кортизон (INN)
|
![]() |
|||
|
(б)
|
Гидрокортизон (INN)
|
![]() |
|||
|
(3)
|
Эстрогены и прогестины
|
||||
|
(2937)
|
(Б)
|
(3)
|
(а)
|
Прогестерон (INN)
|
![]() |
|
Пе–ре–чень
|
Андростан
|
![]() |
|||
|
Эстрон (INN)
|
![]() |
||||
|
(2937)
|
Пе–ре–чень
|
Преднизолон (INN)
|
![]() |
||
|
Преднизон (INN)
|
![]() |
||||
|
Тестостерон (INN)
|
![]() |
||||
|
(2937)
|
Эстран
|
![]() |
|||
|
Прегнан
|
![]() |
||||
|
2938
|
Гликозиды, природные или синтезированные, их соли, простые и сложные эфиры и прочие производные
|
||||
|
(1)
|
Рутозид
|
![]() |
|||
|
2939
|
Алкалоиды, природные или синтезированные, их соли, простые и сложные эфиры и прочие производные
|
||||
|
(2939)
|
(А)
|
АЛКАЛОИДЫ ОПИЯ И ИХ ПРОИЗВОДНЫЕ; СОЛИ ЭТИХ СОЕДИНЕНИЙ
|
|||
|
(1)
|
Морфин
|
![]() |
|||
|
(Б)
|
АЛКАЛОИДЫ, ВЫДЕЛЕННЫЕ ИЗ КОРЫ ХИННОГО ДЕРЕВА, И ИХ ПРОИЗВОДНЫЕ; СОЛИ ЭТИХ СОЕДИНЕНИЙ
|
||||
|
(1)
|
Хинин
|
![]() |
|||
|
(В)
|
КОФЕИН И ЕГО СОЛИ
|
||||
|
(2939)
|
(В)
|
Кофеин
|
![]() |
||
|
(Г)
|
ЭФЕДРИНЫ И ИХ СОЛИ
|
||||
|
(1)
|
Эфедрин
|
![]() |
|||
|
(Д)
|
ТЕОФИЛЛИН И АМИНОФИЛЛИН (ТЕОФИЛЛИНЭТИЛЕНДИАМИН) И ИХ ПРОИЗВОДНЫЕ; СОЛИ ЭТИХ СОЕДИНЕНИЙ
|
||||
|
(2939)
|
(Д)
|
Теофиллин
|
![]() |
||
|
(Ж)
|
НИКОТИН И ЕГО СОЛИ
|
||||
|
Никотин
|
![]() |
||||
|
ПРОЧИЕ АЛКАЛОИДЫ НЕРАСТИТЕЛЬНОГО ПРОИСХОЖДЕНИЯ
|
|||||
|
(И)
|
Виридикатин (грибной), гистрионикотоксин (животный), кокцинеллин (из насекомых), варацин (морской) и процианин (бактериальный)
|
![]() |
|||
|
2940
|
Сахара химически чистые, кроме сахарозы, лактозы, мальтозы, глюкозы и фруктозы; простые эфиры сахаров, ацетали сахаров и сложные эфиры сахаров, их соли, кроме продуктов товарной позиции 2937, 2938 или 2939
|
||||
|
(А)
|
ХИМИЧЕСКИ ЧИСТЫЕ САХАРА
|
||||
|
(2940)
|
(А)
|
(1)
|
Галактоза
|
![]() |
|
|
(Б)
|
ПРОСТЫЕ ЭФИРЫ САХАРОВ, АЦЕТАЛИ САХАРОВ И СЛОЖНЫЕ ЭФИРЫ САХАРОВ, ИХ СОЛИ
|
||||
|
(1)
|
Гидроксипропилсахароза
|
![]() |
|||
|
2941
|
Антибиотики
|
||||
|
(1)
|
Пенициллины
|
![]() |
|||
|
(2941)
|
(2)
|
Стрептомицин
|
![]() |
||
|
Стрептамин (составляющая стрептомицинового каркаса) (пояснения к субпозициям)
|
![]() |
||||
|
(2941)
|
Стрептидин (составляющая стрептомицинового каркаса) (пояснения к субпозициям)
|
![]() |
|||
|
Метилглукосамин (составляющая стрептомицинового каркаса) (пояснения к субпозициям)
|
![]() |
||||
|
5–деоксиликсоз (составляющая стрептомицинового каркаса) (пояснения к субпозициям)
|
![]() |
||||
|
(3)
|
Тетрациклин
|
![]() |
|||
|
4–диметиламино–нафтацен–2–карбоксамид (полностью гидрированный) (составляющая тетрациклинового каркаса) (пояснения к субпозициям)
|
![]() |
||||
|
N–(2–гидрокси–1–метил–2– фенэтил) ацетамид (составляющая хлорамфинеколового каркаса) (пояснения к субпозициям)
|
![]() |
||||
|
(2941)
|
(5)
|
Эритромицин
|
![]() |
||
|
13–этил–13–тридеканолид (составляющая эритромицинового каркаса) (пояснения к субпозициям)
|
![]() |
||||
|
(2941)
|
Десозамин (составляющая эритромицинового каркаса) (пояснения к субпозициям)
|
![]() |
|||
|
Микарос (составляющая эритромицинового каркаса) (пояснения к субпозициям)
|
![]() |
||||
|
2942
|
Соединения органические прочие
|
||||
|
(1)
|
Кетены
|
![]() |
|||
|
(2)
|
Комплексные соединения трифторида бора с простым диэтиловым эфиром
|
![]() |
|||